Online Database of Chemicals from Around the World

1,2-Dilauroylphosphatidylethanolamine
[CAS 53695-34-4]

Suppliers
CAS#: 53695-34-4
Product: 1,2-Dilauroylphosphatidylethanolamine
No suppilers available for the product.
Identification
Name 1,2-Dilauroylphosphatidylethanolamine
Synonyms Acetic Acid; [1-[(2-Aminoethoxy-Hydroxy-Phosphoryl)Oxymethyl]-2-Dodecanoyloxy-Ethyl] Dodecanoate; Acetic Acid; Dodecanoic Acid [1-[(2-Aminoethoxy-Hydroxyphosphoryl)Oxymethyl]-2-(1-Oxododecoxy)Ethyl] Ester; Acetic Acid; Lauric Acid [1-[(2-Aminoethoxy-Hydroxy-Phosphoryl)Oxymethyl]-2-Lauroyloxy-Ethyl] Ester
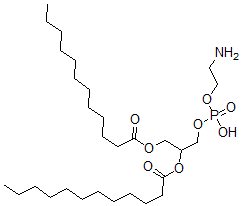
Molecular Structure CAS#: 53695-34-4, 1,2-Dilauroylphosphatidylethanolamine
Molecular Formula C31H62NO10P
Molecular Weight 639.81
CAS Registry Number 53695-34-4
SMILES C(O[P](OCCN)(=O)O)C(OC(=O)CCCCCCCCCCC)COC(=O)CCCCCCCCCCC.CC(=O)O
InChI 1S/C29H58NO8P.C2H4O2/c1-3-5-7-9-11-13-15-17-19-21-28(31)35-25-27(26-37-39(33,34)36-24-23-30)38-29(32)22-20-18-16-14-12-10-8-6-4-2;1-2(3)4/h27H,3-26,30H2,1-2H3,(H,33,34);1H3,(H,3,4)
InChIKey NIYQLOFJJVVREI-UHFFFAOYSA-N
Properties
Boiling point 646.2°C at 760 mmHg (Cal.)
Flash point 344.6°C (Cal.)
Market Analysis Reports
Related Products
D-Dilactide;(3R...  Dilactitol 3-io...  Dilanthanum tri...  Dilaurin;[1-(Do...  Dilaurin;[1-(Do...  Rac-1,2-Dilauro...  1,2-Dilauroyl-G...  L-alpha-Dilauro...  Dilauroyl perox...  L-alpha-Dilauro...  Dilauroylphosph...  1,2-Dilauroyl-S...  Dilauryl adipat...  1,3-Dilauryl ci...  Dilauryl 1,4-di...  Dilauryl maleat...  1,3-Dilauryl-2-...  Dilauryl thiodi...  Dilazep Dihydro...  DilC12(3) (iodi...