Online Database of Chemicals from Around the World

Dilauroylphosphatidylserine
[CAS 2954-46-3]

Suppliers
CAS#: 2954-46-3
Product: Dilauroylphosphatidylserine
No suppilers available for the product.
Identification
Name Dilauroylphosphatidylserine
Synonyms (2S)-2-Amino-3-[2,3-Di(Dodecanoyloxy)Propoxy-Hydroxy-Phosphoryl]Oxy-Propanoic Acid; (2S)-2-Amino-3-[2,3-Bis(1-Oxododecoxy)Propoxy-Hydroxyphosphoryl]Oxypropanoic Acid; (2S)-2-Amino-3-(2,3-Dilauroyloxypropoxy-Hydroxy-Phosphoryl)Oxy-Propionic Acid
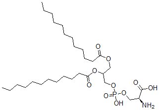
Molecular Structure CAS#: 2954-46-3, Dilauroylphosphatidylserine
Molecular Formula C30H58NO10P
Molecular Weight 623.76
CAS Registry Number 2954-46-3
SMILES [C@H](N)(CO[P](OCC(OC(=O)CCCCCCCCCCC)COC(=O)CCCCCCCCCCC)(=O)O)C(=O)O
InChI 1S/C30H58NO10P/c1-3-5-7-9-11-13-15-17-19-21-28(32)38-23-26(24-39-42(36,37)40-25-27(31)30(34)35)41-29(33)22-20-18-16-14-12-10-8-6-4-2/h26-27H,3-25,31H2,1-2H3,(H,34,35)(H,36,37)/t26?,27-/m0/s1
InChIKey RHODCGQMKYNKED-GEVKEYJPSA-N
Market Analysis Reports
Related Products
Dilactitol 3-io...  Dilanthanum tri...  Dilaurin;[1-(Do...  Dilaurin;[1-(Do...  Rac-1,2-Dilauro...  1,2-Dilauroyl-G...  L-alpha-Dilauro...  Dilauroyl perox...  L-alpha-Dilauro...  1,2-Dilauroylph...  1,2-Dilauroyl-S...  Dilauryl adipat...  1,3-Dilauryl ci...  Dilauryl 1,4-di...  Dilauryl maleat...  1,3-Dilauryl-2-...  Dilauryl thiodi...  Dilazep Dihydro...  DilC12(3) (iodi...  Dilead diruthen...