|
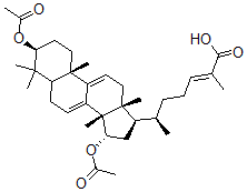
CAS#: 112430-63-4 Product: (E,6R)-6-[(3S,10S,13R,14R,15S,17R)-3,15-Diacetyloxy-4,4,10,13,14-Pentamethyl-2,3,5,6,12,15,16,17-Octahydro-1H-Cyclopenta[a]Phenanthren-17-Yl]-2-Methylhept-2-Enoic Acid No suppilers available for the product. |
| Name | (E,6R)-6-[(3S,10S,13R,14R,15S,17R)-3,15-Diacetyloxy-4,4,10,13,14-Pentamethyl-2,3,5,6,12,15,16,17-Octahydro-1H-Cyclopenta[a]Phenanthren-17-Yl]-2-Methylhept-2-Enoic Acid |
|---|---|
| Synonyms | (E,6R)-6-[(3S,10S,13R,14R,15S,17R)-3,15-Diacetoxy-4,4,10,13,14-Pentamethyl-2,3,5,6,12,15,16,17-Octahydro-1H-Cyclopenta[A]Phenanthren-17-Yl]-2-Methyl-Hept-2-Enoic Acid; (E,6R)-6-[(3S,10S,13R,14R,15S,17R)-3,15-Diacetoxy-4,4,10,13,14-Pentamethyl-2,3,5,6,12,15,16,17-Octahydro-1H-Cyclopenta[A]Phenanthren-17-Yl]-2-Methylhept-2-Enoic Acid; (E,6R)-6-[(3S,10S,13R,14R,15S,17R)-3,15-Diacetyloxy-4,4,10,13,14-Pentamethyl-2,3,5,6,12,15,16,17-Octahydro-1H-Cyclopenta[A]Phenanthren-17-Yl]-2-Methyl-Hept-2-Enoic Acid |
| Molecular Structure | ![]() |
| Molecular Formula | C34H50O6 |
| Molecular Weight | 554.77 |
| CAS Registry Number | 112430-63-4 |
| SMILES | [C@@]34(C2=CCC1C([C@@H](OC(=O)C)CC[C@@]1(C2=CC[C@@]3([C@@H]([C@@H](CC\C=C(C(=O)O)/C)C)C[C@@H]4OC(=O)C)C)C)(C)C)C |
| InChI | 1S/C34H50O6/c1-20(11-10-12-21(2)30(37)38)26-19-29(40-23(4)36)34(9)25-13-14-27-31(5,6)28(39-22(3)35)16-17-32(27,7)24(25)15-18-33(26,34)8/h12-13,15,20,26-29H,10-11,14,16-19H2,1-9H3,(H,37,38)/b21-12+/t20-,26-,27?,28+,29+,32-,33-,34-/m1/s1 |
| InChIKey | OTUZGGSAOMCYNC-FHWYVJHPSA-N |
| Density | 1.127g/cm3 (Cal.) |
|---|---|
| Boiling point | 633.819°C at 760 mmHg (Cal.) |
| Flash point | 191.091°C (Cal.) |
| Market Analysis Reports |