全球化学品在线数据库

Tpp-Sp-G
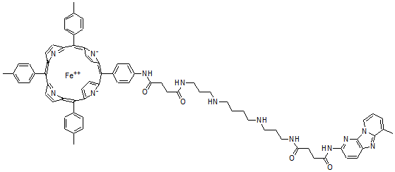
[CAS 92067-82-8]

供应商
CAS#: 92067-82-8
产品: Tpp-Sp-G
暂时没有厂家供应该产品。
基本信息
产品名称 Tpp-Sp-G
英文名 Tpp-Sp-G
别名 Iron, (N-(6-Methyldipyrido(1,2-A:3',2'-D)Imidazol-2-Yl)-4,19-Dioxo-N'-(4-(10,15,20-Tris(4-Methylphenyl)-21H,23H-Porphin-5-Yl)Phenyl)-5,9,14,18-Tetraazadocosanediamidato(2-)-N21,N22,N23,N24)-, (Sp-4-2)-
分子结构 CAS 登录号:92067-82-8, Tpp-Sp-G
分子式 C76H75FeN13O4
分子量 1290.36
CAS 登录号 92067-82-8
分子行输入简码 SMILES [N-]1C2=CC=C1C(=C8C=CC(=C(C6=NC(=C(C4=NC(=C2C3=CC=C(C=C3)C)C=C4)C5=CC=C(C=C5)C)C=C6)C7=CC=C(C=C7)C)[N-]8)C9=CC=C(C=C9)NC(CCC(=O)NCCCNCCCCNCCCNC(CCC(NC%12=NC%10=C(N=C%11C(=CC=C[N]%10%11)C)C=C%12)=O)=O)=O.[Fe++]
国际化学标识码 InChI 1S/C76H77N13O4.Fe/c1-48-11-17-52(18-12-48)71-57-27-29-59(82-57)72(53-19-13-49(2)14-20-53)61-31-33-63(84-61)74(64-34-32-62(85-64)73(60-30-28-58(71)83-60)54-21-15-50(3)16-22-54)55-23-25-56(26-24-55)81-69(92)39-37-67(90)79-45-8-43-77-41-5-6-42-78-44-9-46-80-
国际化学标识检索码 InChIKey ZKZLQMRCQNDXLJ-UHFFFAOYSA-L
市场分析报告
相关产品
头状胡枝子提取物  Toxin BE 4 (Mic...  Toxin II, cyano...  Toxin ShK (Stoi...  TP 003; 4,2'-二氟...  TP-064  TP-110  TPCA-1; 5-(4-氟苯...  TPCS2a  TPI 287  TPT-172  TR 14035; (alph...  Trabodenoson  Tracizoline  Tradipitant  TRAM-34; 1-[(2-...  trans,trans-Muc...  transfactor-Lik...  Transsylvanosid...  Transsylvanosid...