全球化学品在线数据库

刺蒺藜素
[CAS 79974-46-2]

供应商目录
Natural Remedies Pvt Ltd 印度
www.naturalremedy.com
+91 (80) 4020-9999
sendhil@naturalremedy.com
化学品生产商
chemBlink 标准供应商 (2011年起)

基本信息
产品分类分析化学 >> 分析试剂 >> 离子色谱试剂
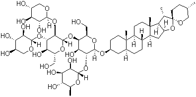
产品名称刺蒺藜素
英文名Tribulosin
分子结构刺蒺藜素分子结构 (CAS 79974-46-2)
分子式C55H90O25
分子量1151.29
CAS 登录号79974-46-2
EC 号码683-234-1
物理化学性质
密度1.50
安全数据
危害分类
up    说明
危害分类类别码危害标签
急性毒性Acute Tox.4H302
SDS化学品安全技术说明书参考文本
市场分析报告
相关产品
[次甲基三(氧基)]三异癸烷  [次甲基三(氧基亚甲基)]三苯  P,P',P''-次甲基三[二...  4,4',4''-次甲基三[N...  N,N',N''-次甲基三甲酰...  5,11-次甲基四氢高叶酸酯单...  1,1',1''-[次甲基-碳...  次甲霉素 A  词桨投顾? 反式丁烯酸  刺蓟苦素  刺蒺藜提取物  次苦参黄素  刺梨苷 F1  刺凌德草碱  [[3,3',3''-(次膦基...  次磷酸  次磷酸铵  次磷酸-D3  次磷酸钙  次磷酸钾