全球化学品在线数据库

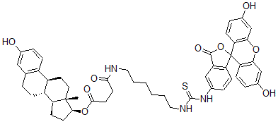
[(8R,9S,13S,14S,17S)-3-羟基-13-甲基-6,7,8,9,11,12,14,15,16,17-十氢环戊烯并[a]菲-17-基]4-[6-[(3',6'-二羟基-3-氧代螺[2-苯并呋喃-1,9'-氧杂蒽]-5-基)硫代氨基甲酰氨基]己基氨基]-4-氧代丁酸酯
[CAS 78232-36-7]

供应商
CAS#: 78232-36-7
产品: [(8R,9S,13S,14S,17S)-3-羟基-13-甲基-6,7,8,9,11,12,14,15,16,17-十氢环戊烯并[a]菲-17-基]4-[6-[(3',6'-二羟基-3-氧代螺[2-苯并呋喃-1,9'-氧杂蒽]-5-基)硫代氨基甲酰氨基]己基氨基]-4-氧代丁酸酯
暂时没有厂家供应该产品。
基本信息
产品名称 [(8R,9S,13S,14S,17S)-3-羟基-13-甲基-6,7,8,9,11,12,14,15,16,17-十氢环戊烯并[a]菲-17-基]4-[6-[(3',6'-二羟基-3-氧代螺[2-苯并呋喃-1,9'-氧杂蒽]-5-基)硫代氨基甲酰氨基]己基氨基]-4-氧代丁酸酯
英文名 [(8R,9S,13S,14S,17S)-3-Hydroxy-13-Methyl-6,7,8,9,11,12,14,15,16,17-Decahydrocyclopenta[a]Phenanthren-17-Yl] 4-[6-[(3',6'-Dihydroxy-3-Oxospiro[2-Benzofuran-1,9'-Xanthene]-5-Yl)Carbamothioylamino]Hexylamino]-4-Oxobutanoate
别名 [(8R,9S,13S,14S,17S)-3-Hydroxy-13-Methyl-6,7,8,9,11,12,14,15,16,17-Decahydrocyclopenta[A]Phenanthren-17-Yl] 4-[6-[(3',6'-Dihydroxy-3-Oxo-Spiro[Isobenzofuran-1,9'-Xanthene]-5-Yl)Carbamothioylamino]Hexylamino]-4-Oxo-Butanoate; 4-[6-[[[(3',6'-Dihydroxy-3-Oxo-5-Spiro[Isobenzofuran-1,9'-Xanthene]Yl)Amino]-Thioxomethyl]Amino]Hexylamino]-4-Oxobutanoic Acid [(8R,9S,13S,14S,17S)-3-Hydroxy-13-Methyl-6,7,8,9,11,12,14,15,16,17-Decahydrocyclopenta[A]Phenanthren-17-Yl] Ester; 4-[6-[(3',6'-Dihydroxy-3-Keto-Spiro[Isobenzofuran-1,9'-Xanthene]-5-Yl)Thiocarbamoylamino]Hexylamino]-4-Keto-Butyric Acid [(8R,9S,13S,14S,17S)-3-Hydroxy-13-Methyl-6,7,8,9,11,12,14,15,16,17-Decahydrocyclopenta[A]Phenanthren-17-Yl] Ester
分子结构 CAS 登录号:78232-36-7, [(8R,9S,13S,14S,17S)-3-羟基-13-甲基-6,7,8,9,11,12,14,15,16,17-十氢环戊烯并[a]菲-17-基]4-[6-[(3',6'-二羟基-3-氧代螺[2-苯并呋喃-1,9'-氧杂蒽]-5-基)硫代氨基甲酰氨基]己基氨基]-4-氧代丁酸酯
分子式 C49H53N3O9S
分子量 860.03
CAS 登录号 78232-36-7
分子行输入简码 SMILES [C@H]39[C@H]1[C@@H](C2=C(CC1)C=C(O)C=C2)CC[C@@]3([C@@H](OC(=O)CCC(=O)NCCCCCCNC(=S)NC8=CC4=C(C5(OC4=O)C7=C(OC6=C5C=CC(=C6)O)C=C(O)C=C7)C=C8)CC9)C
国际化学标识码 InChI 1S/C49H53N3O9S/c1-48-21-20-34-33-12-8-30(53)24-28(33)6-11-35(34)37(48)16-17-43(48)60-45(57)19-18-44(56)50-22-4-2-3-5-23-51-47(62)52-29-7-13-38-36(25-29)46(58)61-49(38)39-14-9-31(54)26-41(39)59-42-27-32(55)10-15-40(42)49/h7-10,12-15,24-27,34-35,37,43,53-55H,2-6,11,16-23H2,1H3,(H,50,56)(H2,51,52,62)/t34-,35-,37+,43+,48+/m1/s1
国际化学标识检索码 InChIKey YQSULOORPKVMQL-HYJFRMKFSA-N
物理化学性质
密度 1.425g/cm3 (计算值)
市场分析报告
相关产品
[(8S,11S,13S,14...  14-羟基-13-甲基-17-...  (3S,8R,9S,10S,1...  (8R,9S,13S,14S,...  (8E,10E,12R,13R...  (8R,9S,10S,13S,...  (2S,8R,9S,10S,1...  [(8R,9S,13S,14S...  [4-[(11R,13S,17...  [(8R,9S,13S,14S...  4-[[(13S,17S)-3...  [(8R,9S,13S,14S...  2-[(17-羟基-13-甲基...  [(8R,9S,13S,14S...  [(9S,13S,14S,17...  12-羟基-13-甲基罗汉松-...  16-羟基-13-泪柏醚  14beta-羟基-13-氧代...  2-(10-羟基-14,14-...  3-羟基-14,15-开环雌甾...