基本信息
| 产品名称 |
8-beta-羟基-疣孢菌素 J |
| 英文名 |
8-beta-Hydroxy-Verrucarin J |
| 别名 |
Verrucarin A, 2',3'-Didehydro-2'-Deoxy-8-Hydroxy-, (2'Z,8R)-; Verrucarin L; Verrucarin A, 2',3'-Didehydro-2'-Deoxy-8-Hydroxy-, (2'E,8S)- |
|
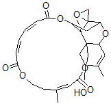
| 分子结构 |
 |
| 分子式 |
C27H32O9 |
| 分子量 |
500.54 |
| CAS 登录号 |
77101-87-2 |
| 分子行输入简码 SMILES |
CC24C1(OC1)C5OC3C2(CC(O)C(=C3)C)COC(=O)\C=C(CCOC(=O)/C=C\C=C/C(OC4C5)=O)\C |
| 国际化学标识码 InChI |
1S/C27H32O9/c1-16-8-9-32-22(29)6-4-5-7-23(30)36-19-12-21-27(15-34-27)25(19,3)26(14-33-24(31)10-16)13-18(28)17(2)11-20(26)35-21/h4-7,10-11,18-21,28H,8-9,12-15H2,1-3H3/b6-4-,7-5-,16-10- |
| 国际化学标识检索码 InChIKey |
BOMPKFLFSCDGLF-VQUMIJSSSA-N |
|