全球化学品在线数据库

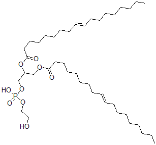
[1-(羟基-(2-羟基乙氧基)磷酰)氧基-3-[(E)-十八碳-9-烯酰基]氧基丙-2-基](E)-十八碳-9-烯酸酯
[CAS 76391-83-8]

供应商
CAS#: 76391-83-8
产品: [1-(羟基-(2-羟基乙氧基)磷酰)氧基-3-[(E)-十八碳-9-烯酰基]氧基丙-2-基](E)-十八碳-9-烯酸酯
暂时没有厂家供应该产品。
基本信息
产品名称 [1-(羟基-(2-羟基乙氧基)磷酰)氧基-3-[(E)-十八碳-9-烯酰基]氧基丙-2-基](E)-十八碳-9-烯酸酯
英文名 [1-(Hydroxy-(2-Hydroxyethoxy)Phosphoryl)Oxy-3-[(E)-Octadec-9-Enoyl]Oxypropan-2-Yl] (E)-Octadec-9-Enoate
别名 [1-[(Hydroxy-(2-Hydroxyethoxy)Phosphoryl)Oxymethyl]-2-[(E)-Octadec-9-Enoyl]Oxy-Ethyl] (E)-Octadec-9-Enoate; (E)-Octadec-9-Enoic Acid [1-[(Hydroxy-(2-Hydroxyethoxy)Phosphoryl)Oxymethyl]-2-[(E)-1-Oxooctadec-9-Enoxy]Ethyl] Ester; (E)-Octadec-9-Enoic Acid [1-[(Hydroxy-(2-Hydroxyethoxy)Phosphoryl)Oxymethyl]-2-[(E)-Octadec-9-Enoyl]Oxy-Ethyl] Ester
分子结构 CAS 登录号:76391-83-8, [1-(羟基-(2-羟基乙氧基)磷酰)氧基-3-[(E)-十八碳-9-烯酰基]氧基丙-2-基](E)-十八碳-9-烯酸酯
分子式 C41H77O9P
分子量 745.03
CAS 登录号 76391-83-8
分子行输入简码 SMILES C(O[P](OCCO)(=O)O)C(OC(=O)CCCCCCC\C=C\CCCCCCCC)COC(=O)CCCCCCC\C=C\CCCCCCCC
国际化学标识码 InChI 1S/C41H77O9P/c1-3-5-7-9-11-13-15-17-19-21-23-25-27-29-31-33-40(43)47-37-39(38-49-51(45,46)48-36-35-42)50-41(44)34-32-30-28-26-24-22-20-18-16-14-12-10-8-6-4-2/h17-20,39,42H,3-16,21-38H2,1-2H3,(H,45,46)/b19-17+,20-18+
国际化学标识检索码 InChIKey HMNZFMSWFCAGGW-XPWSMXQVSA-N
物理化学性质
密度 1.018g/cm3 (计算值)
沸点 763.281°C at 760 mmHg (计算值)
闪点 415.418°C (计算值)
市场分析报告
相关产品
羟基(2-甲氧基苯基)甲烷磺酸...  (2R)-羟基(2-甲氧基苯基...  羟基(2-萘基)甲烷膦酸  (2S)-羟基(2-萘基)乙酸  (2R)-羟基(2-萘基)乙酸  4-[羟基(2-哌啶基)甲基]...  5-[羟基(2-哌啶基)甲基]...  (2S)-羟基(2-羟基苯基)...  羟基(2-羟基丙基)-汞-19...  羟基(2-羟基环己基)乙腈  [羟基-[[(2R,3S,5R...  [羟基-[(2R,3S,5R,...  4-羟基-4-(2-噻吩基)-...  3-羟基-3-(2-噻吩基)丙...  (2R)-羟基(2-噻吩基)乙...  4-[羟基(2-噻唑基)甲基]...  3-羟基-3-(2-氧代-2-...  3-羟基-3-(2-氧代-2-...  3-羟基-3-(2-氧代丙基)...  羟基(3,4,5-三羟基苯基)...