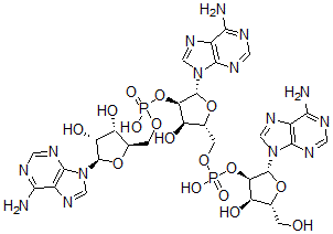
基本信息
| 产品名称 |
腺苷酰-(2'-5')-腺苷酰-(2'-5')腺苷 |
| 英文名 |
Adenylyl-(2'-5')-Adenylyl-(2'-5')Adenosine |
| 别名 |
[(2R,3R,4R,5R)-2-(6-Aminopurin-9-Yl)-5-[[[(2R,3R,4R,5R)-2-(6-Aminopurin-9-Yl)-4-Hydroxy-5-(Hydroxymethyl)Tetrahydrofuran-3-Yl]Oxy-Hydroxy-Phosphoryl]Oxymethyl]-4-Hydroxy-Tetrahydrofuran-3-Yl] [(2R,3S,4R,5R)-5-(6-Aminopurin-9-Yl)-3,4-Dihydroxy-Tetrahydrofuran-2-Yl]Methyl Hydrogen Phosphate; [(2R,3R,4R,5R)-2-(6-Amino-9-Purinyl)-5-[[[(2R,3R,4R,5R)-2-(6-Amino-9-Purinyl)-4-Hydroxy-5-(Hydroxymethyl)-3-Tetrahydrofuranyl]Oxy-Hydroxyphosphoryl]Oxymethyl]-4-Hydroxy-3-Tetrahydrofuranyl] [(2R,3S,4R,5R)-5-(6-Amino-9-Purinyl)-3,4-Dihydroxy-2-Tetrahydrofuranyl]Methyl Hydrogen Phosphate; [(2R,3R,4R,5R)-2-(6-Aminopurin-9-Yl)-5-[[[(2R,3R,4R,5R)-2-(6-Aminopurin-9-Yl)-4-Hydroxy-5-Methylol-Tetrahydrofuran-3-Yl]Oxy-Hydroxy-Phosphoryl]Oxymethyl]-4-Hydroxy-Tetrahydrofuran-3-Yl] [(2R,3S,4R,5R)-5-(6-Aminopurin-9-Yl)-3,4-Dihydroxy-Tetrahydrofuran-2-Yl]Methyl Hydrogen Phosphate |
|
| 分子结构 |
 |
| 分子式 |
C30H37N15O16P2 |
| 分子量 |
925.66 |
| CAS 登录号 |
70062-83-8 |
| 分子行输入简码 SMILES |
[C@H]1(O[C@@H]([C@@H](O)[C@H]1O[P](OC[C@H]4O[C@@H]([N]2C3=C(N=C2)C(=NC=N3)N)[C@H](O)[C@@H]4O)(=O)O)CO[P](O[C@H]5[C@@H](O[C@@H]([C@H]5O)CO)[N]6C7=C(N=C6)C(=NC=N7)N)(=O)O)[N]8C9=C(N=C8)C(=NC=N9)N |
| 国际化学标识码 InChI |
1S/C30H37N15O16P2/c31-22-13-25(37-4-34-22)43(7-40-13)28-19(50)16(47)11(58-28)2-55-62(51,52)61-21-18(49)12(59-30(21)45-9-42-15-24(33)36-6-39-27(15)45)3-56-63(53,54)60-20-17(48)10(1-46)57-29(20)44-8-41-14-23(32)35-5-38-26(14)44/h4-12,16-21,28-30,46-50H,1-3H2,(H,51,52)(H,53,54)(H2,31,34,37)(H2,32,35,38)(H2,33,36,39)/t10-,11-,12-,16-,17-,18-,19-,20-,21-,28-,29-,30-/m1/s1 |
| 国际化学标识检索码 InChIKey |
CBJIAGXLQBYGOU-UQTMIEBXSA-N |
|