全球化学品在线数据库

1,2-十四酰磷脂酰甘油钠盐
[CAS 67232-80-8]

供应商目录
上海艾韦特医药科技有限公司 中国
www.avt-cn.com
+86 (21) 6139-1729
400-6262-623
+86 (21) 5156-1583
nelson@avt-cn.com
化学品供销商
chemBlink 标准供应商 (2010年起)
BOC Sciences 美国
www.bocsci.com
+1 (631) 485-4226
+1 (631) 614-7828
info@bocsci.com
化学品生产商
chemBlink 标准供应商 (2010年起)

基本信息
产品名称1,2-十四酰磷脂酰甘油钠盐
英文名Dimyristoyl phosphatidylglycerole sodium salt
别名1,2-Dimyristoyl-sn-glycero-3-phospho-rac-(1-glycerol) sodium salt
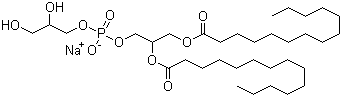
分子结构1,2-十四酰磷脂酰甘油钠盐分子结构 (CAS 67232-80-8)
分子式C34H66O10P.Na
分子量688.84
CAS 登录号67232-80-8
安全数据
SDS化学品安全技术说明书参考文本
市场分析报告
相关产品
2-[2-[2-(十四烷氧基)...  4-十四烷氧基苯胺  2-十四烷氧基苯胺  p-十四烷氧基苯酚  2-十四烷氧基苯甲醛  2-十四烷氧基硝基苯  2-十四烷氧基乙醇  2-(2-十四烷氧基乙氧基)乙...  2-[2-[2-[2-(2-十...  1-十四酰-2-羟基卵磷脂  十四溴-1,4-二苯氧基苯  3,6,9,12,15,18,...  十四乙氧基-六硅氧烷  石松胺  (+)-石松胺N-氧化物  石松醇  石松粉  石松佛辛  石松碱  石松灵碱