全球化学品在线数据库

6-[2-[(2-氨基乙基)氨基]乙基氨基]-6-脱氧-beta-环糊精
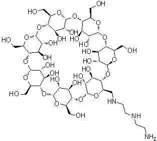
[CAS 65294-32-8]

供应商目录
上海拓克化学科技有限公司 中国
www.tocopharm.com
+86 (21) 3160-8287
+86 13776836200
+86 (21) 6129-2409
info@tocopharm.com
QQ Chat
化学品生产商 (2012年起)
chemBlink 标准供应商 (2009年起)
常州新星联生物科技有限公司 中国
www.neostarunited.com
+86 (519) 8555-7386
+86 18015025600
+86 (519) 8555-7389
marketing1@neostarunited.com
化学品供销商 (2014年起)
chemBlink 标准供应商 (2020年起)

基本信息
产品名称6-[2-[(2-氨基乙基)氨基]乙基氨基]-6-脱氧-beta-环糊精
英文名6-[2-[(2-Aminoethyl)amino]ethylamino]-6-deoxy-beta-cyclodextrin
分子结构6-[2-[(2-氨基乙基)氨基]乙基氨基]-6-脱氧-beta-环糊精分子结构 (CAS 65294-32-8)
分子式C46H81N3O34
分子量1220.14
CAS 登录号65294-32-8
物理化学性质
密度1.547±0.06 g/cm3 (20 °C 760 Torr), 计算值*
*使用计算机软件 Advanced Chemistry Development (ACD/Labs) Software V11.02 (©1994-2017 ACD/Labs)
市场分析报告
相关产品
N-(2-{[2-({2-[(...  N-(2-{[2-({2-[(...  N-[2-({2-[(2-氨基...  N-[2-({2-[(2-氨基...  N-[2-({2-[(2-氨基...  N-[2-({2-[(2-氨基...  N-[2-({2-[(2-氨基...  N-{2-[(2-氨基乙基)氨...  N-{2-[(2-氨基乙基)氨...  N-{2-[(2-氨基乙基)氨...  2-[(2-氨基乙基)氨基]乙...  2-[(2-氨基乙基)氨基]乙...  2-[(2-氨基乙基)氨基]乙...  4-(2-氨基乙基)氨基-2-...  4-(2-氨基乙基)氨基-7-...  2-(2-氨基乙基)氨基甲基吡...  N(6)-(N-(2-氨基乙基...  2'-(O)-(N-(2-氨基...  2'-O-(N-(2-氨基乙基...  4-(2-氨基乙基)氨基喹啉