全球化学品在线数据库

9,4''-二乙酰基-4''-去丙酰基麦迪霉素
[CAS 65178-01-0]

供应商
CAS#: 65178-01-0
产品: 9,4''-二乙酰基-4''-去丙酰基麦迪霉素
暂时没有厂家供应该产品。
基本信息
产品名称 9,4''-二乙酰基-4''-去丙酰基麦迪霉素
英文名 9,4''-Diacetyl-4''-depropionylmidecamycin
别名 [(4R,5S,6S,7R,9R,10R,11E,13E,16R)-10-Acetoxy-6-[(2S,3R,4R,5S,6R)-5-[(2S,4R,5S,6S)-5-Acetoxy-4-Hydroxy-4,6-Dimethyl-Tetrahydropyran-2-Yl]Oxy-4-Dimethylamino-3-Hydroxy-6-Methyl-Tetrahydropyran-2-Yl]Oxy-5-Methoxy-9,16-Dimethyl-2-Oxo-7-(2-Oxoethyl)-1-Oxacyclohexadeca-11,13-Dien-4-Yl] Propanoate; Propanoic Acid [(4R,5S,6S,7R,9R,10R,11E,13E,16R)-10-Acetoxy-6-[[(2S,3R,4R,5S,6R)-5-[[(2S,4R,5S,6S)-5-Acetoxy-4-Hydroxy-4,6-Dimethyl-2-Tetrahydropyranyl]Oxy]-4-Dimethylamino-3-Hydroxy-6-Methyl-2-Tetrahydropyranyl]Oxy]-5-Methoxy-9,16-Dimethyl-2-Oxo-7-(2-Oxoethyl)-1-Oxacyclohexadeca-11,13-Dien-4-Yl] Ester; Propionic Acid [(4R,5S,6S,7R,9R,10R,11E,13E,16R)-10-Acetoxy-6-[(2S,3R,4R,5S,6R)-5-[(2S,4R,5S,6S)-5-Acetoxy-4-Hydroxy-4,6-Dimethyl-Tetrahydropyran-2-Yl]Oxy-4-Dimethylamino-3-Hydroxy-6-Methyl-Tetrahydropyran-2-Yl]Oxy-2-Keto-7-(2-Ketoethyl)-5-Methoxy-9,16-Dimethyl-1-Oxacyclohexadeca-11,13-Dien-4-Yl] Ester
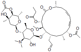
分子结构 CAS 登录号:65178-01-0, 9,4''-二乙酰基-4''-去丙酰基麦迪霉素
分子式 C42H67NO16
分子量 841.99
CAS 登录号 65178-01-0
分子行输入简码 SMILES [C@H]2(O[C@@H]([C@@H](O[C@@H]1O[C@H]([C@H](OC(=O)C)[C@](O)(C1)C)C)[C@H](N(C)C)[C@H]2O)C)O[C@@H]3[C@@H](OC)[C@H](OC(=O)CC)CC(O[C@@H](C/C=C/C=C/[C@H](OC(=O)C)[C@@H](C[C@@H]3CC=O)C)C)=O
国际化学标识码 InChI 1S/C42H67NO16/c1-12-32(47)57-31-21-33(48)52-24(3)16-14-13-15-17-30(55-27(6)45)23(2)20-29(18-19-44)38(39(31)51-11)59-41-36(49)35(43(9)10)37(25(4)54-41)58-34-22-42(8,50)40(26(5)53-34)56-28(7)46/h13-15,17,19,23-26,29-31,34-41,49-50H,12,16,18,20-22H2,1-11H3/b14-13+,17-15+/t23-,24-,25-,26+,29+,30+,31-,34+,35-,36-,37-,38+,39+,40+,41+,42-/m1/s1
国际化学标识检索码 InChIKey YLMAKVCEJQGBBH-QECIFPIFSA-N
市场分析报告
相关产品
3,4-二乙酰基-3-己烯-2...  2,4-二乙酰基-3-氧代戊二...  N,N'-二乙酰基-4,4'-...  1,3-二乙酰基-4,6-二甲...  N,N'-二乙酰基-4,6-二...  5,10-二乙酰基-4a,5,...  1,2-二乙酰基-4-苯基-1...  2,6-二乙酰基-4-氯吡啶  3,6-O-二乙酰基-4-O-...  2,3-二乙酰基-4-羟基-4...  1,3-二乙酰基-5,5-二苯...  1,4-二乙酰基-5-羟基-1...  N1-(2,4-二乙酰基-5-...  5,7-二乙酰基-6-(5-羧...  7,7'-二乙酰基-6,6'-...  1,4-二乙酰基-6-甲基-2...  2,5-二乙酰基-6-羟基苯并...  5,14-二乙酰基-7,16-...  2,6-二乙酰基-7,9-二羟...  2,6-二乙酰基-7,9-二羟...