全球化学品在线数据库

丁子香鞣质
[CAS 58970-75-5]

供应商
CAS#: 58970-75-5
产品: 丁子香鞣质
暂时没有厂家供应该产品。
基本信息
产品名称 丁子香鞣质
英文名 Eugeniin
别名 Megxp0_001162; Acon1_001321; C10224
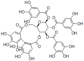
分子结构 CAS 登录号:58970-75-5, 丁子香鞣质
分子式 C41H30O26
分子量 938.67
CAS 登录号 58970-75-5
分子行输入简码 SMILES [C@H]3([C@H]([C@@H]2OC(C5=C(C1=C(C(=C(C=C1C(OC[C@H]2O[C@H]3OC(C4=CC(=C(C(=C4)O)O)O)=O)=O)O)O)O)C(=C(C(=C5)O)O)O)=O)OC(C6=CC(=C(O)C(=C6)O)O)=O)OC(C7=CC(=C(C(=C7)O)O)O)=O
国际化学标识码 InChI 1S/C41H30O26/c42-15-1-10(2-16(43)26(15)50)36(57)65-34-33-23(9-62-39(60)13-7-21(48)29(53)31(55)24(13)25-14(40(61)64-33)8-22(49)30(54)32(25)56)63-41(67-38(59)12-5-19(46)28(52)20(47)6-12)35(34)66-37(58)11-3-17(44)27(51)18(45)4-11/h1-8,23,33-35,41-56H,9H2/t23-,33-,34+,35-,41+/m1/s1
国际化学标识检索码 InChIKey JCGHAEBIBSEQAD-UUUCSUBKSA-N
物理化学性质
密度 2.139g/cm3 (计算值)
沸点 1503.692°C at 760 mmHg (计算值)
闪点 450.834°C (计算值)
市场分析报告
相关产品
2-丁氧乙基N-[[(1R,5...  2-丁氧乙基壬酸酯  顶压素 (3-40) (人) ...  顶压素 (人)  顶压素 (小鼠)  顶压素相关肽 (6-43) (...  顶压素相关肽 (人)  丁乙酸泼尼松龙; 丁乙酸氢化泼...  顶羽菊内酯  丁子香基葡糖苷  丁子香亭  beta-丁子香酮  (-)-丁子香烯  地尼白介素  地尼茶碱  地纽福索四钠  Dinordiphenhydr...  Dinordrin  Dinordrin II Di...  Dinostanol