| 深圳市亚嘉特实业有限公司 | 中国 | |||
|---|---|---|---|---|
![]() | www.atchem.net | |||
![]() | +86 (755) 8665-5561 | |||
![]() | +86 (755) 8665-5591 | |||
![]() | jeffreyxu@atchem.net sinochemxu@hotmail.com asiatalentchem@gmail.com | |||
![]() | QQ Chat | |||
![]() | Skype Chat | |||
| 化学品生产商 | ||||
| chemBlink 标准供应商 (2007年起) | ||||
| 南京穆森化工有限公司 | 中国 | |||
|---|---|---|---|---|
![]() | www.msnchem.com | |||
![]() | +86 (25) 5701-5632 +86 18013328036 | |||
![]() | +86 (25) 5701-9235 | |||
![]() | info@msnchem.com | |||
![]() | QQ Chat | |||
![]() | Skype Chat | |||
| 化学品生产商 (2013年起) | ||||
| chemBlink 标准供应商 (2008年起) | ||||
| 合肥天健化工有限公司 | 中国 | |||
|---|---|---|---|---|
![]() | www.tnjchem.com | |||
![]() | +86 (551) 6541-8684 | |||
![]() | +86 (551) 6541-8697 | |||
![]() | sales@tnjchem.com | |||
| 化学品生产商 (2001年起) | ||||
| chemBlink 标准供应商 (2010年起) | ||||
| BOC Sciences | 美国 | |||
|---|---|---|---|---|
![]() | www.bocsci.com | |||
![]() | +1 (631) 485-4226 | |||
![]() | +1 (631) 614-7828 | |||
![]() | info@bocsci.com | |||
| 化学品生产商 | ||||
| chemBlink 标准供应商 (2010年起) | ||||
| Hangzhou Leap Chem Co., Ltd. | 中国 | |||
|---|---|---|---|---|
![]() | www.leapchem.com | |||
![]() | +86 (571) 8771-1850 | |||
![]() | market19@leapchem.com | |||
![]() | QQ Chat | |||
| 化学品生产商 (2006年起) | ||||
| chemBlink 标准供应商 (2015年起) | ||||
| Santa Cruz Biotechnology, Inc. | 美国 | |||
|---|---|---|---|---|
![]() | www.scbt.com | |||
![]() | +1 (831) 457-3800 | |||
![]() | +1 (831) 457-3801 | |||
![]() | scbt@scbt.com | |||
| 化学品生产商 | ||||
| Avonchem/Chromos Express Ltd. | 英国 | |||
|---|---|---|---|---|
![]() | www.avonchem.co.uk | |||
![]() | +44 (1625) 434-300 | |||
![]() | +44 (1625) 869-777 | |||
![]() | info@avonchem.co.uk | |||
| 化学品生产商 | ||||
| 产品分类 | 医药中间体 >> 杂环化合物中间体 >> 吡嗪类化合物 |
|---|---|
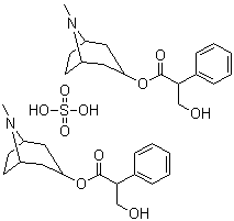
| 产品名称 | 硫酸阿托品 |
| 英文名 | Atropine sulfate |
| 别名 | (8-Methyl-8-azabicyclo[3.2.1]oct-3-yl) 3-hydroxy-2-phenyl-propanoate sulphate |
| 分子结构 | ![]() |
| 分子式 | 2(C17H23NO3).H2SO4 |
| 分子量 | 676.82 |
| CAS 登录号 | 55-48-1 |
| EC 号码 | 200-235-0 |
| 危害分类 | |||||||||||||||||||||
|---|---|---|---|---|---|---|---|---|---|---|---|---|---|---|---|---|---|---|---|---|---|
| |||||||||||||||||||||
| 市场分析报告 |