全球化学品在线数据库

硫脂 I
[CAS 53580-08-8]

供应商
CAS#: 53580-08-8
产品: 硫脂 I
暂时没有厂家供应该产品。
基本信息
产品名称 硫脂 I
英文名 Sulfolipid I
别名 Ammonium (2R,3R,4S,5S,6R)-2-[(2R,3R,4S,5S,6R)-6-(2,4,6,8,10,12,14-Heptamethyltriacontanoyloxymethyl)-3-Hexadecanoyloxy-4-Hydroxy-5-(17-Hydroxy-2,4,6,8,10,12,14,16-Octamethyl-Dotriacontanoyl)Oxy-Tetrahydropyran-2-Yl]Oxy-5-Hydroxy-6-[(17-Hydroxy-2,4,6,8,10,12,14,16-Octamethyl-Dotriacontanoyl)Oxymethyl]-3-Sulfooxy-Tetrahydropyran-4-Olate; Ammonium (2R,3R,4S,5S,6R)-2-[[(2R,3R,4S,5S,6R)-6-[(2,4,6,8,10,12,14-Heptamethyl-1-Oxotriacontoxy)Methyl]-4-Hydroxy-5-(17-Hydroxy-2,4,6,8,10,12,14,16-Octamethyl-1-Oxodotriacontoxy)-3-(1-Oxohexadecoxy)-2-Tetrahydropyranyl]Oxy]-5-Hydroxy-6-[(17-Hydroxy-2,4,6,8,10,12,14,16-Octamethyl-1-Oxodotriacontoxy)Methyl]-3-Sulfooxy-4-Tetrahydropyranolate; Ammonium (2R,3R,4S,5S,6R)-2-[(2R,3R,4S,5S,6R)-6-(2,4,6,8,10,12,14-Heptamethyltriacontanoyloxymethyl)-3-Hexadecanoyloxy-4-Hydroxy-5-(17-Hydroxy-2,4,6,8,10,12,14,16-Octamethyl-Dotriacontanoyl)Oxy-Tetrahydropyran-2-Yl]Oxy-5-Hydroxy-6-[(17-Hydroxy-2,4,6,8,10,12,14,16-Octamethyl-Dotriacontanoyl)Oxymethyl]-3-Sulfoxy-Tetrahydropyran-4-Olate
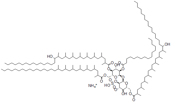
分子结构 CAS 登录号:53580-08-8, 硫脂 I
分子式 C145H283NO20S
分子量 2392.89
CAS 登录号 53580-08-8
分子行输入简码 SMILES [C@H]1(OC(=O)C(CC(CC(CC(CC(CC(CC(CC(C(O)CCCCCCCCCCCCCCC)C)C)C)C)C)C)C)C)[C@H](O)[C@@H](OC(=O)CCCCCCCCCCCCCCC)[C@H](O[C@@H]1COC(=O)C(CC(CC(CC(CC(CC(CC(CCCCCCCCCCCCCCCC)C)C)C)C)C)C)C)O[C@H]2O[C@@H]([C@@H](O)[C@H]([O-])[C@H]2O[S](O)(=O)=O)COC(=O)C(CC(CC(CC(CC(CC(CC(CC(C(O)CCCCCCCCCCCCCCC)C)C)C)C)C)C)C)C.[NH4+]
国际化学标识码 InChI 1S/C145H279O20S.H3N/c1-28-32-36-40-44-48-52-56-60-61-65-69-73-77-81-107(5)85-108(6)86-109(7)87-110(8)92-117(15)98-123(21)103-128(26)142(153)159-106-133-138(163-143(154)129(27)104-124(22)99-119(17)94-114(12)89-112(10)91-116(14)96-121(19)101-126(24)131(147)83-79-75-71-67-63-58-54-50-46-42-38-34-30-3)137(151)139(162-134(148)84-80-76-72-68-64-59-55-51-47-43-39-35-31-4)144(161-133)164-145-140(165-166(155,156)157)136(150)135(149)132(160-145)105-158-141(152)127(25)102-122(20)97-118(16)93-113(11)88-111(9)90-115(13)95-120(18)100-125(23)130(146)82-78-74-70-66-62-57-53-49-45-41-37-33-29-2;/h107-133,135-140,144-147,149,151H,28-106H2,1-27H3,(H,155,156,157);1H3/q-1;/p+1/t107?,108?,109?,110?,111?,112?,113?,114?,115?,116?,117?,118?,119?,120?,121?,122?,123?,124?,125?,126?,127?,128?,129?,130?,131?,132-,133-,135-,136+,137+,138-,139-,140-,144-,145-;/m1./s1
国际化学标识检索码 InChIKey CUOZZFPSPKMKKS-YCXBDGMRSA-O
市场分析报告
相关产品
9-硫杂双环[6.1.0]壬-...  9-硫杂双环[6.1.0]壬烷  9-硫杂双环[6.2.0]癸-...  1,1'-(13-硫杂双环[8...  硫杂四环素  硫杂卓o[4,5-d][1,2...  硫杂卓o[4,5-d][1,3...  六正丙基亚磷酸三酰胺  六正丁基二锡  硫赭曲菌素  硫仲丁比妥钠盐  硫唑嘌呤; 6-[(1-甲基-...  硫唑嘌呤-13C4  Liv 52  利维霉素 A 硫酸盐  锂硝酸盐3-水合物  粒细胞集落刺激因子  利昔伐坦; 利伐普坦  利西拉来  梨形番石榴提取物