| 深圳爱拓化学有限公司 | 中国 | |||
|---|---|---|---|---|
![]() |
+86 13417589054/ | |||
![]() |
info@atomaxchem.com,atomax.chemicals@gmail.com | |||
![]() |
QQ 交流 | |||
| 化学品生产商 | ||||
| Otava Ltd. | 乌克兰 | |||
|---|---|---|---|---|
![]() |
+380 (44) 522-2458 | |||
![]() |
order@otavachemicals.com | |||
| 化学品生产商(1997 年起) | ||||
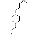
| 产品名称 | 2-(4-丁基-1-哌嗪基)乙胺 |
|---|---|
| 英文名 | 2-(4-Butyl-1-Piperazinyl)Ethanamine |
| 别名 | 1-Piperazineethanamine,4-butyl-; 2-(4-butylpiperazin-1-yl)ethanamine |
| 分子结构 | ![]() |
| 分子式 | C10H23N3 |
| 分子量 | 185.31 |
| CAS 登录号 | 4489-55-8 |
| 分子行输入简码 SMILES | NCCN1CCN(CC1)CCCC |
| 国际化学标识码 InChI | 1S/C10H23N3/c1-2-3-5-12-7-9-13(6-4-11)10-8-12/h2-11H2,1H3 |
| 国际化学标识检索码 InChIKey | JWDDUJIYCPWQFN-UHFFFAOYSA-N |
| 密度 | 0.925g/cm3 (计算值) |
|---|---|
| 沸点 | 274.197°C at 760 mmHg (计算值) |
| 闪点 | 118.182°C (计算值) |
| 市场分析报告 |