基本信息
| 产品名称 |
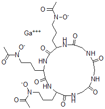
镓N-[3-[5,17-二[3-(乙酰基-氧代氨基)丙基]-3,6,9,12,15,18-六氧代-1,4,7,10,13,16-六氮杂十八碳-2-基]丙基]-N-氧代乙酰胺 |
| 英文名 |
Gallium N-[3-[5,17-Bis[3-(Acetyl-Oxidoamino)Propyl]-3,6,9,12,15,18-Hexaoxo-1,4,7,10,13,16-Hexazacyclooctadec-2-Yl]Propyl]-N-Oxidoacetamide |
| 别名 |
Gallium N-[3-[5,17-Bis[3-(Acetyl-Oxido-Amino)Propyl]-3,6,9,12,15,18-Hexaoxo-1,4,7,10,13,16-Hexazacyclooctadec-2-Yl]Propyl]-N-Oxido-Acetamide; Gallium N-[3-[5,17-Bis[3-(Acetyl-Oxido-Amino)Propyl]-3,6,9,12,15,18-Hexaketo-1,4,7,10,13,16-Hexazacyclooctadec-2-Yl]Propyl]-N-Oxido-Acetamide; Gallium N-[3-[5,17-Bis[3-(Ethanoyl-Oxido-Amino)Propyl]-3,6,9,12,15,18-Hexaoxo-1,4,7,10,13,16-Hexazacyclooctadec-2-Yl]Propyl]-N-Oxido-Ethanamide |
|
| 分子结构 |
![CAS 登录号:39000-29-8, 镓N-[3-[5,17-二[3-(乙酰基-氧代氨基)丙基]-3,6,9,12,15,18-六氧代-1,4,7,10,13,16-六氮杂十八碳-2-基]丙基]-N-氧代乙酰胺](/moreStructures/39000-29-8.gif) |
| 分子式 |
C27H42GaN9O12 |
| 分子量 |
754.40 |
| CAS 登录号 |
39000-29-8 |
| 分子行输入简码 SMILES |
[Ga+3].C(C1NC(=O)C(NC(=O)CNC(=O)CNC(=O)CNC(=O)C(NC1=O)CCCN([O-])C(=O)C)CCCN([O-])C(=O)C)CCN([O-])C(=O)C |
| 国际化学标识码 InChI |
1S/C27H42N9O12.Ga/c1-16(37)34(46)10-4-7-19-25(43)30-14-23(41)28-13-22(40)29-15-24(42)31-20(8-5-11-35(47)17(2)38)26(44)33-21(27(45)32-19)9-6-12-36(48)18(3)39;/h19-21H,4-15H2,1-3H3,(H,28,41)(H,29,40)(H,30,43)(H,31,42)(H,32,45)(H,33,44);/q-3;+3 |
| 国际化学标识检索码 InChIKey |
PTVOLFPTQKGIHC-UHFFFAOYSA-N |
|