全球化学品在线数据库

维生素B12-b-单羧酸
[CAS 38218-77-8]

供应商
合肥孚亚生物技术有限公司 中国
+86 (551) 6288-8437
info@purerechem.com
QQ 交流
Skype 聊天
化学品生产商(2018 年起)
chemBlink 集群供应商(2023 年起)
基本信息
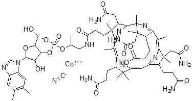
产品名称 维生素B12-b-单羧酸
英文名 Cyanocobalamin-b-monocarboxylic acid
别名 Cobinic Acid-Acdeg-Pentamide, Cyanide, Dihydrogen Phosphate (Ester), Inner Salt, 3'-Ester With 5,6-Dimethyl-1-Alpha-D-Ribofuranosyl-1H-Benzimidazole; Cyanocobalamin-B-Monocarboxylic Acid
分子结构 CAS 登录号:38218-77-8, 维生素B12-b-单羧酸
分子式 C63H87CoN13O15P
分子量 1356.37
CAS 登录号 38218-77-8
分子行输入简码 SMILES [Co+3].N1=C6C(C(C1(C2N=C(C(C2CC(=O)N)(CCC(=O)NCC(O[P](OC3C(O)C(OC3CO)[N]5C4=CC(=C(C=C4N=C5)C)C)([O-])=O)C)C)C(=C8[N-]C(=CC7=NC(=C6C)C(C7CCC(=O)N)(CC(=O)N)C)C(C8CCC(=O)N)(C)C)C)C)(CC(=O)N)C)CCC(=O)O.N#[C-]
国际化学标识码 InChI 1S/C62H89N12O15P.CN.Co/c1-29-20-39-40(21-30(29)2)74(28-69-39)57-52(84)53(41(27-75)87-57)89-90(85,86)88-31(3)26-68-48(81)18-19-59(8)37(22-45(65)78)56-62(11)61(10,25-47(67)80)36(14-17-49(82)83)51(73-62)33(5)55-60(9,24-46(66)79)34(12-15-43(63)76)38(70-55)23-42-58(6,7)35(13-16-44(64)77)50(71-42)32(4)54(59)72-56;1-2;/h20-21,23,28,31,34-37,41,52-53,56-57,75,84H,12-19,22,24-27H2,1-11H3,(H14,63,64,65,66,67,68,70,71,72,73,76,77,78,79,80,81,82,83,85,86);;/q;-1;+3/p-2
国际化学标识检索码 InChIKey CGXULFRVUMZMFQ-UHFFFAOYSA-L
市场分析报告
相关产品
维生素 E 烟酸酯; 烟酸生育...  维生素 E 亚油酸酯  维生素 K1; 植物甲萘醌; ...  维生素 K2  維生素 K2  维生素 K2(35); 甲萘醌...  维生素 K2(45); 甲萘醌...  维生素 K4; 2-甲基-1,...  维生素A2腈  维生素B12 EP 杂质A  β-维生素B12-c-单羧酸钴  维生素B12-d-羧酸  维生素B12杂质H  维生素原C  微生物用?蛋白胨  微生物中性蛋白酶  N-围神经酰基神经节苷酯G(M...  韦氏大风子亭  威士忌内酯; 4-羟基-3-甲...  伪石榴皮碱盐酸盐