全球化学品在线数据库

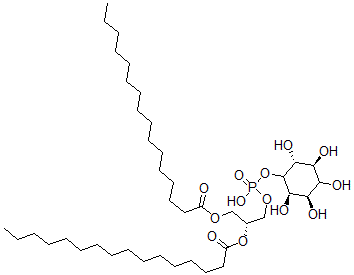
D-Myo-肌醇 1-(2R)-2,3-二(1-氧代十六烷基)氧基丙基磷酸氢酯
[CAS 28366-80-5]

供应商
卡博森斯化学科技 (苏州) 有限公司 中国
+86 (512) 6260-5585
sales@carbosynth.com
QQ 交流
化学品生产商(2006 年起)
化学品供销商(2006 年起)
chemBlink 集群供应商(2016 年起)
基本信息
产品名称 D-Myo-肌醇 1-(2R)-2,3-二(1-氧代十六烷基)氧基丙基磷酸氢酯
英文名 D-Myo-Inositol, 1-(2R)-2,3-Bis(1-Oxohexadecyl)Oxypropyl Hydrogen Phosphate
别名 [(2R)-2-Hexadecanoyloxy-3-[Hydroxy-[(2R,3R,5S,6R)-2,3,4,5,6-Pentahydroxycyclohexoxy]Phosphoryl]Oxy-Propyl] Hexadecanoate; Hexadecanoic Acid [(2R)-3-[Hydroxy-[(2R,3R,5S,6R)-2,3,4,5,6-Pentahydroxycyclohexoxy]Phosphoryl]Oxy-2-(1-Oxohexadecoxy)Propyl] Ester; Palmitic Acid [(2R)-2-Hexadecanoyloxy-3-[Hydroxy-[(2R,3R,5S,6R)-2,3,4,5,6-Pentahydroxycyclohexoxy]Phosphoryl]Oxy-Propyl] Ester
分子结构 CAS 登录号:28366-80-5, D-Myo-肌醇 1-(2R)-2,3-二(1-氧代十六烷基)氧基丙基磷酸氢酯
分子式 C41H79O13P
分子量 811.04
CAS 登录号 28366-80-5
分子行输入简码 SMILES [C@H]1(O)C(O[P](OC[C@H](OC(=O)CCCCCCCCCCCCCCC)COC(=O)CCCCCCCCCCCCCCC)(O)=O)[C@H](O)[C@@H](O)C(O)[C@H]1O
国际化学标识码 InChI 1S/C41H79O13P/c1-3-5-7-9-11-13-15-17-19-21-23-25-27-29-34(42)51-31-33(32-52-55(49,50)54-41-39(47)37(45)36(44)38(46)40(41)48)53-35(43)30-28-26-24-22-20-18-16-14-12-10-8-6-4-2/h33,36-41,44-48H,3-32H2,1-2H3,(H,49,50)/t33-,36?,37-,38+,39-,40-,41?/m1/s1
国际化学标识检索码 InChIKey IBUKXRINTKQBRQ-FOENULIHSA-N
物理化学性质
密度 1.147g/cm3 (计算值)
沸点 831.369°C at 760 mmHg (计算值)
闪点 456.595°C (计算值)
市场分析报告
相关产品
荠菜提取物  (2R)-2-己醇  1-(13  D-muco-肌醇  muco-肌醇  (S)-(+)-2-己醇  3-己醇  2-己醇  肌醇; 环己六醇  肌醇; 环己六醇  D-Myo-肌醇 1-(2R)...  myo-肌醇 1-(4-甲基-...  myo-肌醇 1-(5-溴-4...  D-myo-肌醇 1,2,3,...  肌醇 1,2,3-三磷酸酯  D-myo-肌醇 1,2,6-...  肌醇 1,2,6-三磷酸酯  肌醇 1,2-环 4-双磷酸酯  D-Myo-肌醇 1,2-环磷...  肌醇 1,3,4,5,6-五磷...