全球化学品在线数据库

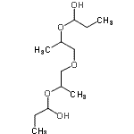
1-[2-[2-(1-羟基丙氧基)丙氧基]-1-甲基-乙氧基]丙-1-醇
[CAS 25657-08-3]

供应商
CAS#: 25657-08-3
产品: 1-[2-[2-(1-羟基丙氧基)丙氧基]-1-甲基-乙氧基]丙-1-醇
暂时没有厂家供应该产品。
基本信息
产品名称 1-[2-[2-(1-羟基丙氧基)丙氧基]-1-甲基-乙氧基]丙-1-醇
英文名 1-[2-[2-(1-Hydroxypropoxy)Propoxy]-1-Methyl-Ethoxy]Propan-1-Ol
别名 Propanol, [oxybis[(methyl-2,1-ethanediyl)oxy]]bis-
分子结构 CAS 登录号:25657-08-3, 1-[2-[2-(1-羟基丙氧基)丙氧基]-1-甲基-乙氧基]丙-1-醇
分子式 C12H26O5
分子量 250.33
CAS 登录号 25657-08-3
分子行输入简码 SMILES CCC(O)OC(C)COCC(C)OC(CC)O
国际化学标识码 InChI 1S/C12H26O5/c1-5-11(13)16-9(3)7-15-8-10(4)17-12(14)6-2/h9-14H,5-8H2,1-4H3
国际化学标识检索码 InChIKey HRPYGYLEWZDCAO-UHFFFAOYSA-N
物理化学性质
密度 1.033g/cm3 (计算值)
沸点 269.146°C at 760 mmHg (计算值)
闪点 116.575°C (计算值)
折射率 1.455 (计算值)
市场分析报告
相关产品
5-(2-羟基丙氧基)-4-氧...  (1beta,2beta,3b...  (1alpha,2beta,3...  4-(2-羟基丙氧基)苯酚  4-[[4-[[4-(2-羟基...  [4-(2-羟基丙氧基)苯基]...  4-(3-羟基丙氧基)苯甲醛  3-(3-羟基丙氧基)丙-1-...  3-(3-羟基丙氧基)丙基水杨...  3-(3-羟基丙氧基)丙基月桂...  7-(beta-羟基丙氧基)茶...  [1-[(2-羟基丙氧基)甲基...  5-[(2-羟基丙氧基)甲基]...  2-(3-羟基丙氧基)萘  1-[4-(2-羟基丙氧基)萘...  1-[4-(2-羟基丙氧基)萘...  [2-(3-羟基-丙氧基)-乙...  7-[3-羟基丙氧基]喹唑啉-...  2-羟基吡嗪  3-羟基吡嗪-2-甲酰胺