全球化学品在线数据库

(3S)-3-乙酰基-3-甲基-4-亚甲基二氢-2(3H)-呋喃酮
[CAS 220308-41-8]

供应商
Achemica 瑞士
+41 (24) 466-2929
contact@achemica.com
化学品生产商(2010 年起)
深圳爱拓化学有限公司 中国
+86 13417589054/
info@atomaxchem.com,atomax.chemicals@gmail.com
QQ 交流
化学品生产商
基本信息
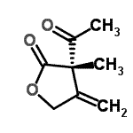
产品名称 (3S)-3-乙酰基-3-甲基-4-亚甲基二氢-2(3H)-呋喃酮
英文名 (3S)-3-Acetyl-3-Methyl-4-Methylenedihydro-2(3H)-Furanone
别名 (S)-3-acetyl-3-methyl-4-methylenedihydrofuran-2(3H)-one
分子结构 CAS 登录号:220308-41-8, (3S)-3-乙酰基-3-甲基-4-亚甲基二氢-2(3H)-呋喃酮
分子式 C8H10O3
分子量 154.16
CAS 登录号 220308-41-8
分子行输入简码 SMILES CC(=O)[C@@]1(C(=C)COC1=O)C
国际化学标识码 InChI 1S/C8H10O3/c1-5-4-11-7(10)8(5,3)6(2)9/h1,4H2,2-3H3/t8-/m0/s1
国际化学标识检索码 InChIKey YIKFPIRLKVGLQC-QMMMGPOBSA-N
物理化学性质
密度 1.114g/cm3 (计算值)
沸点 283.77°C at 760 mmHg (计算值)
闪点 124.695°C (计算值)
折射率 1.469 (计算值)
市场分析报告
相关产品
1-乙酰基-3-甲基-2-咪唑...  1-乙酰基-3-甲基-2-哌嗪...  8-乙酰基-3-甲基-3,8-...  4-乙酰基-3-甲基-3H-吡...  1-乙酰基-3-甲基-3-环己...  4-乙酰基-3-甲基-4,5-...  (2S,3R)-2-乙酰基-3...  (2S,3S)-2-乙酰基-3...  2-乙酰基-3-甲基-4-环庚...  (3R)-3-乙酰基-3-甲基...  2-乙酰基-3-甲基-4-氧代...  5-乙酰基-3-甲基-4-异恶...  4-乙酰基-3-甲基-5-(甲...  4-乙酰基-3-甲基-5-(甲...  2-乙酰基-3-甲基-5-甲氧...  5-乙酰基-3-甲基-6-苯基...  (5S,6R)-6-乙酰基-3...  2-乙酰基-3-甲基-8-(b...  9-乙酰基-3-甲基-9H-二...  6-乙酰基-3-甲基苯并恶唑-...