全球化学品在线数据库

阿拉伯六糖
[CAS 190852-26-7]

供应商目录
卡博森斯化学科技 (苏州) 有限公司 中国
www.carbosynth.cn
+86 (512) 6260-5585
+86 (512) 6260-5576
sales@carbosynth.com
QQ Chat
化学品生产商 (2006年起)
chemBlink 标准供应商 (2016年起)

基本信息
产品名称阿拉伯六糖
英文名Arabinohexaose
别名O-alpha-L-Arabinofuranosyl-(1→5)-O-alpha-L-arabinofuranosyl-(1→5)-O-alpha-L-arabinofuranosyl-(1→5)-O-alpha-L-arabinofuranosyl-(1→5)-O-alpha-L-arabinofuranosyl-(1→5)-L-arabinose
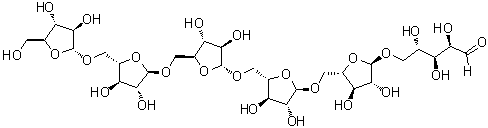
分子结构阿拉伯六糖分子结构 (CAS 190852-26-7)
分子式C30H50O25
分子量810.70
CAS 登录号190852-26-7
EC 号码894-820-3
物理化学性质
溶解度略溶 (14 g/L) (25 °C), 计算值*
密度1.77±0.1 g/cm3 (20 °C 760 Torr), 计算值*
*使用计算机软件 Advanced Chemistry Development (ACD/Labs) Software V11.02 (©1994-2016 ACD/Labs)
市场分析报告
相关产品
7-beta-D-阿拉伯呋喃糖...  1-beta-阿拉伯呋喃糖基胞...  1 beta-D-阿拉伯呋喃糖...  阿拉伯呋喃糖基尿苷三磷酸酯  9-beta-D-阿拉伯呋喃糖...  S-(5-(9-阿拉伯呋喃糖基...  1-beta-阿拉伯呋喃糖基胸...  1-{5-[(4E,20E)-...  7-(alpha-L-阿拉伯呋...  阿拉伯聚糖  阿拉伯三糖  阿拉伯树胶  阿拉伯四糖  D-阿拉伯糖  阿拉伯糖  DL-阿拉伯糖  阿拉伯糖  L-阿拉伯糖  阿拉伯糖 1,5-二磷酸酯  D-阿拉伯糖 2,3,4,5-...