全球化学品在线数据库

N-[(苄氧基)羰基]甘氨酰-L-亮氨酰甘氨酸
[CAS 16295-38-8]

供应商
CAS#: 16295-38-8
产品: N-[(苄氧基)羰基]甘氨酰-L-亮氨酰甘氨酸
暂时没有厂家供应该产品。
基本信息
产品名称 N-[(苄氧基)羰基]甘氨酰-L-亮氨酰甘氨酸
英文名 N-[(Benzyloxy)Carbonyl]Glycyl-L-Leucylglycine
别名 Z-GLY-LEU-GLY-OH
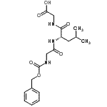
分子结构 CAS 登录号:16295-38-8, N-[(苄氧基)羰基]甘氨酰-L-亮氨酰甘氨酸
分子式 C18H25N3O6
分子量 379.41
CAS 登录号 16295-38-8
分子行输入简码 SMILES O=C(O)CNC(=O)[C@@H](NC(=O)CNC(=O)OCc1ccccc1)CC(C)C
国际化学标识码 InChI 1S/C18H25N3O6/c1-12(2)8-14(17(25)19-10-16(23)24)21-15(22)9-20-18(26)27-11-13-6-4-3-5-7-13/h3-7,12,14H,8-11H2,1-2H3,(H,19,25)(H,20,26)(H,21,22)(H,23,24)/t14-/m0/s1
国际化学标识检索码 InChIKey CBLYMECSQPXYHQ-AWEZNQCLSA-N
物理化学性质
密度 1.236g/cm3 (计算值)
沸点 711.401°C at 760 mmHg (计算值)
闪点 384.042°C (计算值)
折射率 1.54 (计算值)
市场分析报告
相关产品
N-[(苄氧基)羰基]甘氨酰丙...  N-[(苄氧基)羰基]甘氨酰-...  N-[(苄氧基)羰基]甘氨酰脯...  N-[(苄氧基)羰基]甘氨酰甘...  N-[(苄氧基)羰基]甘氨酰甘...  N-[(苄氧基)羰基]甘氨酰-...  N-[(苄氧基)羰基]甘氨酰-...  N-[(苄氧基)羰基]甘氨酰-...  N-[(苄氧基)羰基]甘氨酰-...  N-[(苄氧基)羰基]甘氨酰-...  N-[(苄氧基)羰基]甘氨酰-...  N-[(苄氧基)羰基]甘氨酰-...  4-[[(苄氧基)羰基]甲基氨...  N-[(苄氧基)羰基]-L-苯...  (2E)-2-({N-[(苄氧...  N-[(苄氧基)羰基]-L-苯...  N-[(苄氧基)羰基]-L-苯...  N-[(苄氧基)羰基]-L-苯...  N-[(苄氧基)羰基]-L-苯...  N-[(苄氧基)羰基]-L-苯...