全球化学品在线数据库

红迪菌素
[CAS 11031-38-2]

供应商
CAS#: 11031-38-2
产品: 红迪菌素
暂时没有厂家供应该产品。
基本信息
产品名称 红迪菌素
英文名 Rubradirin
别名 Nsc99282; Rubradirin
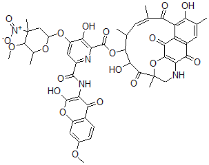
分子结构 CAS 登录号:11031-38-2, 红迪菌素
分子式 C48H46N4O20
分子量 998.91
CAS 登录号 11031-38-2
分子行输入简码 SMILES C2=C(OC1OC(C(OC)C([N+]([O-])=O)(C1)C)C)C(=C(N=C2C(=O)NC3=C(OC4=C(C3=O)C=CC(=C4)OC)O)C(OC8C(O)C(=O)C5(OC6=C(NC5)C(=O)C7=C(C6=O)C(=C(O)C(=C7)C)C(=O)C(=C/C8C)\C)C)=O)O
国际化学标识码 InChI 1S/C48H46N4O20/c1-17-11-19(3)40(39(59)42(60)48(6)16-49-30-36(56)23-12-18(2)34(54)29(33(17)53)28(23)38(58)41(30)72-48)71-46(63)32-37(57)26(69-27-15-47(5,52(64)65)43(67-8)20(4)68-27)14-24(50-32)44(61)51-31-35(55)22-10-9-21(66-7)13-25(22)70-45(31)62/h9-14,19-20,27,39-40,43,49,54,57,59,62H,15-16H2,1-8H3,(H,51,61)/b17-11-
国际化学标识检索码 InChIKey HZJYMSYXRSCXPH-BOPFTXTBSA-N
物理化学性质
密度 1.611g/cm3 (计算值)
沸点 1233.436°C at 760 mmHg (计算值)
闪点 699.757°C (计算值)
市场分析报告
相关产品
红白金花内酯  红白金花酸  红斑素  虹彩醌茜素  荭草苷; 2-(3,4-二羟基...  荭草苷-2''-O-p-反式-...  荭草素-2"-O-beta-L...  红车轴草提取物  红蝽素  红大戟素  红地那非  红地那非-d8  红豆裂碱  红豆树素 VI  红豆素  红豆素 C  红毒扁豆碱  红毒素 B  红毒素 B 三乙酸酯  红菲咯啉二磺酸