全球化学品在线数据库

(4R)-N-[1-[[3-羟基-4-甲基-1-[[2-甲基-1-[[4-甲基-1-[[4-甲基-1-[[2-甲基-1-[[2-甲基-1-[[3-(1-甲基氨基丙烷-2-基氨基)-3-氧代丙基]氨基]-1-氧代丙烷-2-基]氨基]-1-氧代丙烷-2-基]氨基]-1-氧代戊烷-2-基]氨基]-1-氧代戊烷-2-基]氨基]-1-氧代丙烷-2-基]氨基]-1-氧代戊烷-2-基]氨基]-4-甲基-1-氧代戊烷-2-基]-4-甲基-1-[(E,4S)-4-甲基己-2-烯酰基]吡咯烷-2-甲酰胺
[CAS 100334-47-2]

供应商
CAS#: 100334-47-2
产品: (4R)-N-[1-[[3-羟基-4-甲基-1-[[2-甲基-1-[[4-甲基-1-[[4-甲基-1-[[2-甲基-1-[[2-甲基-1-[[3-(1-甲基氨基丙烷-2-基氨基)-3-氧代丙基]氨基]-1-氧代丙烷-2-基]氨基]-1-氧代丙烷-2-基]氨基]-1-氧代戊烷-2-基]氨基]-1-氧代戊烷-2-基]氨基]-1-氧代丙烷-2-基]氨基]-1-氧代戊烷-2-基]氨基]-4-甲基-1-氧代戊烷-2-基]-4-甲基-1-[(E,4S)-4-甲基己-2-烯酰基]吡咯烷-2-甲酰胺
暂时没有厂家供应该产品。
基本信息
产品名称 (4R)-N-[1-[[3-羟基-4-甲基-1-[[2-甲基-1-[[4-甲基-1-[[4-甲基-1-[[2-甲基-1-[[2-甲基-1-[[3-(1-甲基氨基丙烷-2-基氨基)-3-氧代丙基]氨基]-1-氧代丙烷-2-基]氨基]-1-氧代丙烷-2-基]氨基]-1-氧代戊烷-2-基]氨基]-1-氧代戊烷-2-基]氨基]-1-氧代丙烷-2-基]氨基]-1-氧代戊烷-2-基]氨基]-4-甲基-1-氧代戊烷-2-基]-4-甲基-1-[(E,4S)-4-甲基己-2-烯酰基]吡咯烷-2-甲酰胺
英文名 (4R)-N-[1-[[3-Hydroxy-4-Methyl-1-[[2-Methyl-1-[[4-Methyl-1-[[4-Methyl-1-[[2-Methyl-1-[[2-Methyl-1-[[3-(1-Methylaminopropan-2-Ylamino)-3-Oxopropyl]Amino]-1-Oxopropan-2-Yl]Amino]-1-Oxopropan-2-Yl]Amino]-1-Oxopentan-2-Yl]Amino]-1-Oxopentan-2-Yl]Amino]-1-Oxopropan-2-Yl]Amino]-1-Oxopentan-2-Yl]Amino]-4-Methyl-1-Oxopentan-2-Yl]-4-Methyl-1-[(E,4S)-4-Methylhex-2-Enoyl]Pyrrolidine-2-Carboxamide
别名 (4R)-N-[1-[[1-[[2-[[1-[[1-[[2-[[1,1-Dimethyl-2-[[3-[(1-Methyl-2-Methylamino-Ethyl)Amino]-3-Oxo-Propyl]Amino]-2-Oxo-Ethyl]Amino]-1,1-Dimethyl-2-Oxo-Ethyl]Carbamoyl]-3-Methyl-Butyl]Carbamoyl]-3-Methyl-Butyl]Amino]-1,1-Dimethyl-2-Oxo-Ethyl]Carbamoyl]-2-Hydroxy-3-Methyl-Butyl]Carbamoyl]-3-Methyl-Butyl]-4-Methyl-1-[(E,4S)-4-Methylhex-2-Enoyl]Pyrrolidine-2-Carboxamide; (4R)-N-[1-[[[1-[[[2-[[1-[[[1-[[[2-[[1,1-Dimethyl-2-[[3-[(1-Methyl-2-Methylaminoethyl)Amino]-3-Oxopropyl]Amino]-2-Oxoethyl]Amino]-1,1-Dimethyl-2-Oxoethyl]Amino]-Oxomethyl]-3-Methylbutyl]Amino]-Oxomethyl]-3-Methylbutyl]Amino]-1,1-Dimethyl-2-Oxoethyl]Amino]-Oxomethyl]-2-Hydroxy-3-Methylbutyl]Amino]-Oxomethyl]-3-Methylbutyl]-4-Methyl-1-[(E,4S)-4-Methyl-1-Oxohex-2-Enyl]-2-Pyrrolidinecarboxamide; (4R)-N-[1-[[2-Hydroxy-1-[[2-Keto-2-[[1-[[1-[[2-Keto-2-[[2-Keto-2-[[3-Keto-3-[(1-Methyl-2-Methylamino-Ethyl)Amino]Propyl]Amino]-1,1-Dimethyl-Ethyl]Amino]-1,1-Dimethyl-Ethyl]Carbamoyl]-3-Methyl-Butyl]Carbamoyl]-3-Methyl-Butyl]Amino]-1,1-Dimethyl-Ethyl]Carbamoyl]-3-Methyl-Butyl]Carbamoyl]-3-Methyl-Butyl]-4-Methyl-1-[(E,4S)-4-Methylhex-2-Enoyl]Pyrrolidine-2-Carboxamide
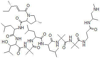
分子结构 CAS 登录号:100334-47-2, (4R)-N-[1-[[3-羟基-4-甲基-1-[[2-甲基-1-[[4-甲基-1-[[4-甲基-1-[[2-甲基-1-[[2-甲基-1-[[3-(1-甲基氨基丙烷-2-基氨基)-3-氧代丙基]氨基]-1-氧代丙烷-2-基]氨基]-1-氧代丙烷-2-基]氨基]-1-氧代戊烷-2-基]氨基]-1-氧代戊烷-2-基]氨基]-1-氧代丙烷-2-基]氨基]-1-氧代戊烷-2-基]氨基]-4-甲基-1-氧代戊烷-2-基]-4-甲基-1-[(E,4S)-4-甲基己-2-烯酰基]吡咯烷-2-甲酰胺
分子式 C56H101N11O11
分子量 1104.48
CAS 登录号 100334-47-2
分子行输入简码 SMILES [C@H]1(CC(N(C1)C(=O)\C=C\[C@H](CC)C)C(=O)NC(C(=O)NC(C(=O)NC(C(=O)NC(C(=O)NC(C(=O)NC(C(=O)NC(C(=O)NCCC(=O)NC(CNC)C)(C)C)(C)C)CC(C)C)CC(C)C)(C)C)C(O)C(C)C)CC(C)C)C
国际化学标识码 InChI 1S/C56H101N11O11/c1-20-35(10)21-22-43(69)67-30-36(11)28-41(67)49(74)61-38(25-31(2)3)47(72)63-44(45(70)34(8)9)50(75)65-55(15,16)52(77)62-39(26-32(4)5)46(71)60-40(27-33(6)7)48(73)64-56(17,18)53(78)66-54(13,14)51(76)58-24-23-42(68)59-37(12)29-57-19/h21-22,31-41,44-45,57,70H,20,23-30H2,1-19H3,(H,58,76)(H,59,68)(H,60,71)(H,61,74)(H,62,77)(H,63,72)(H,64,73)(H,65,75)(H,66,78)/b22-21+/t35-,36+,37?,38?,39?,40?,41?,44?,45?/m0/s1
国际化学标识检索码 InChIKey RDUJTYZLXJPVKP-YDZNBPEVSA-N
物理化学性质
密度 1.106g/cm3 (计算值)
沸点 1323.837°C at 760 mmHg (计算值)
闪点 754.429°C (计算值)
市场分析报告
相关产品
1-羟基-4-磺酸基萘-2-重...  N-羟基-4-甲基-N-(2-...  4-羟基-4'-甲基-[1,1...  5-羟基-4-甲基-1-(2,...  N-羟基-4-甲基-1,2,3...  3-(3-羟基-4-甲基-1,...  6-羟基-4-甲基-1,3-苯...  1-羟基-4-甲基-1,3-二...  1-(2-羟基-4-甲基-1,...  2-羟基-4-甲基-1,2-二...  6-羟基-4-甲基-1-苯并呋...  (2Z)-N-羟基-4-甲基-...  1-羟基-4-甲基-1H-吡咯...  N-羟基-4-甲基-1H-吡唑...  6-羟基-4-甲基-1H-喹啉...  (4R,6R)-6-羟基-4-...  (4R,6S)-6-羟基-4-...  N-羟基-4-甲基-1-哌啶甲...  N-羟基-4-甲基-1-哌嗪甲...  N-羟基-4-甲基-1-哌嗪甲...