全球化学品在线数据库

羟丙基甲基纤维素邻苯二甲酸酯 化学品安全技术说明书 (CAS 9050-31-1)

本页面提供 羟丙基甲基纤维素邻苯二甲酸酯 (CAS 9050-31-1) 的化学品安全技术说明书 (SDS),包括危险性、急救措施、储存与操作要求等信息。用户可免费下载 SDS 文件用于实验室或工业参考。

产品概述

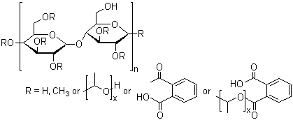
结构式 CAS# 9050-31-1, 羟丙基甲基纤维素邻苯二甲酸酯
产品名称 羟丙基甲基纤维素邻苯二甲酸酯
CAS 登录号 9050-31-1
羟丙基甲基纤维素邻苯二甲酸酯的详细资料
 
资料来源 SDS 样本
Sigma-Aldrich
www.sigmaaldrich.com/catalog/Lookup.do?N5=All&N3=mode+matchpartialmax&N1=S_ID&ST=RS&N25=0&F=PR&D7=0&N4=9050-31-1
浏览或下载

免责声明

本页所列之化学品安全技术说明书样本系 chemBlink 公司搜集的互联网公开信息,仅用于指导化学品安全技术说明书的编辑与制作。chemBlink 竭诚提供可靠信息,然而不承诺其完备与准确。 阅读全文...



常见问题 (FAQ)
什么是 SDS?   如何下载 SDS?   SDS 是否免费?   SDS 和 MSDS 有什么区别?



相关化学品安全技术说明书
大孔树脂 A 21   阿拉西 A   羧甲基纤维素钙   聚乙烯醇肉桂酸酯   阿奇霉素 3'-N-...   1-氨基-3-苄氧基...   麦芽糖糊精   (S)-[1-(3-...   3,4,5-三甲氧基...   西佐喃