全球化学品在线数据库

三尖杉宁碱 化学品安全技术说明书 (CAS 71610-00-9)

本页面提供 三尖杉宁碱 (CAS 71610-00-9) 的化学品安全技术说明书 (SDS),包括危险性、急救措施、储存与操作要求等信息。用户可免费下载 SDS 文件用于实验室或工业参考。

产品概述

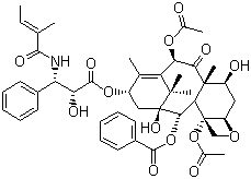
结构式 CAS# 71610-00-9, 三尖杉宁碱
产品名称 三尖杉宁碱
CAS 登录号 71610-00-9
分子式 C45H53NO14
分子量 831.91
三尖杉宁碱的详细资料
 
资料来源 SDS 样本
Sigma-Aldrich
www.sigmaaldrich.com/catalog/Lookup.do?N5=All&N3=mode+matchpartialmax&N1=S_ID&ST=RS&N25=0&F=PR&D7=0&N4=71610-00-9
浏览或下载

免责声明

本页所列之化学品安全技术说明书样本系 chemBlink 公司搜集的互联网公开信息,仅用于指导化学品安全技术说明书的编辑与制作。chemBlink 竭诚提供可靠信息,然而不承诺其完备与准确。 阅读全文...



常见问题 (FAQ)
什么是 SDS?   如何下载 SDS?   SDS 是否免费?   SDS 和 MSDS 有什么区别?



相关化学品安全技术说明书
2,1,3-苯并噻二...   二对甲基苯甲酰-D-...   D-对甲基二苯甲酰酒...   3,6-二甲基-2-...   2,3,4,5-四氢...   N-(4-甲基喹唑啉...   4-甲氧基肉桂酸异戊...   4-羟基-1-(苯基...   瑞波西汀   藜芦碱