全球化学品在线数据库

{2-乙氧基-2-[(三甲基硅烷基)氧基]乙烯基}(三甲基)硅烷 化学品安全技术说明书 (CAS 65946-56-7)

本页面提供 {2-乙氧基-2-[(三甲基硅烷基)氧基]乙烯基}(三甲基)硅烷 (CAS 65946-56-7) 的化学品安全技术说明书 (SDS),包括危险性、急救措施、储存与操作要求等信息。用户可免费下载 SDS 文件用于实验室或工业参考。

产品概述

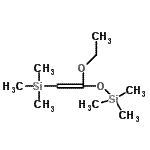
结构式 CAS# 65946-56-7, {2-乙氧基-2-[(三甲基硅烷基)氧基]乙烯基}(三甲基)硅烷
产品名称 {2-乙氧基-2-[(三甲基硅烷基)氧基]乙烯基}(三甲基)硅烷
CAS 登录号 65946-56-7
分子式 C10H24O2Si2
分子量 232.47
{2-乙氧基-2-[(三甲基硅烷基)氧基]乙烯基}(三甲基)硅烷的详细资料
 
资料来源 SDS 样本
TCI
www.spectrumchemical.com/MSDS/TCI-T2592.pdf
浏览或下载

免责声明

本页所列之化学品安全技术说明书样本系 chemBlink 公司搜集的互联网公开信息,仅用于指导化学品安全技术说明书的编辑与制作。chemBlink 竭诚提供可靠信息,然而不承诺其完备与准确。 阅读全文...



常见问题 (FAQ)
什么是 SDS?   如何下载 SDS?   SDS 是否免费?   SDS 和 MSDS 有什么区别?



相关化学品安全技术说明书
吡啶-4-磺酰胺   己脒定二(羟乙基磺酸...   4-氟苄基胺盐酸盐   3-[1,3,4]恶...   9-吖啶胺   6-丁基-1,3-苯...   (3aS,4S,6a...   1-(1-芘基)乙醇   胆碱十八烷基磷酸酯   2-({[(3bet...