全球化学品在线数据库

阿卡波糖 化学品安全技术说明书 (CAS 56180-94-0)

本页面提供 阿卡波糖 (CAS 56180-94-0) 的化学品安全技术说明书 (SDS),包括危险性、急救措施、储存与操作要求等信息。用户可免费下载 SDS 文件用于实验室或工业参考。

产品概述

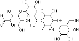
结构式 CAS# 56180-94-0, 阿卡波糖; O-4,6-双脱氧-4[[(1S,4R,5S,6S)4,5,6-三羟基-3-(羟基甲基)-2-环己烯]氨基]-(-D-吡喃葡糖基(1→4)-O-)-D-吡喃葡糖基(1→4)-D-吡喃葡萄糖
产品名称 阿卡波糖
CAS 登录号 56180-94-0
分子式 C25H43NO18
分子量 645.61
阿卡波糖的详细资料
 
资料来源 SDS 样本
Alfa-Aesar
www.alfa.com/en/content/msds/USA/J61737.pdf
浏览或下载
Sigma-Aldrich
www.sigmaaldrich.com/catalog/Lookup.do?N5=All&N3=mode+matchpartialmax&N1=S_ID&ST=RS&N25=0&F=PR&D7=0&N4=56180-94-0
浏览或下载
TCI
www.spectrumchemical.com/MSDS/TCI-A2485.pdf
浏览或下载

免责声明

本页所列之化学品安全技术说明书样本系 chemBlink 公司搜集的互联网公开信息,仅用于指导化学品安全技术说明书的编辑与制作。chemBlink 竭诚提供可靠信息,然而不承诺其完备与准确。 阅读全文...



常见问题 (FAQ)
什么是 SDS?   如何下载 SDS?   SDS 是否免费?   SDS 和 MSDS 有什么区别?



相关化学品安全技术说明书
3-氧杂二环[3,1...   2-乙氧基-5-氟尿...   环丙基丙二酸   野菊花醇   3-环丙基丙酸   4-氯-5-溴嘧啶   2-溴-4,6-二苯...   3-[1,1'-联苯...   3-(4-联苯基)-...   2-溴噻吩-3-甲腈