全球化学品在线数据库

(1Z)-2,2,2-三氯乙脒盐酸盐(1:1) 化学品安全技术说明书 (CAS 42563-97-3)

本页面提供 (1Z)-2,2,2-三氯乙脒盐酸盐(1:1) (CAS 42563-97-3) 的化学品安全技术说明书 (SDS),包括危险性、急救措施、储存与操作要求等信息。用户可免费下载 SDS 文件用于实验室或工业参考。

产品概述

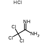
结构式 CAS# 42563-97-3, (1Z)-2,2,2-三氯乙脒盐酸盐(1:1)
产品名称 (1Z)-2,2,2-三氯乙脒盐酸盐(1:1)
CAS 登录号 42563-97-3
分子式 C2H4Cl4N2
分子量 197.88
(1Z)-2,2,2-三氯乙脒盐酸盐(1:1)的详细资料
 
资料来源 SDS 样本
Matrix
www.matrixscientific.com/media/msds/12/86/24/MxMSDS_128624.pdf
浏览或下载

免责声明

本页所列之化学品安全技术说明书样本系 chemBlink 公司搜集的互联网公开信息,仅用于指导化学品安全技术说明书的编辑与制作。chemBlink 竭诚提供可靠信息,然而不承诺其完备与准确。 阅读全文...



常见问题 (FAQ)
什么是 SDS?   如何下载 SDS?   SDS 是否免费?   SDS 和 MSDS 有什么区别?



相关化学品安全技术说明书
N-(4-甲基苯基)...   4-(2-羟基乙基)...   2-氯-1-[4-(...   Sotrastaur...   2-氯-4-喹唑啉乙...   4-(甲基氨基)-3...   4-氟-3-硝基苯甲...   5-(4-甲基-2-...   2-(4-环己基氨基...   反式-1,2-环辛烷...