全球化学品在线数据库

Sugammadex 化学品安全技术说明书 (CAS 343306-71-8)

本页面提供 Sugammadex (CAS 343306-71-8) 的化学品安全技术说明书 (SDS),包括危险性、急救措施、储存与操作要求等信息。用户可免费下载 SDS 文件用于实验室或工业参考。

产品概述

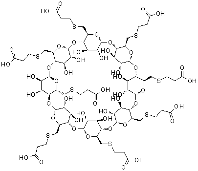
结构式 CAS# 343306-71-8, Sugammadex
产品名称 Sugammadex
CAS 登录号 343306-71-8
分子式 C72H112O48S8
分子量 2002.16
Sugammadex的详细资料
 
资料来源 SDS 样本
Ambeed
file.ambeed.com/static/upload/prosds/am/101/SDS-A100281.pdf
浏览或下载

免责声明

本页所列之化学品安全技术说明书样本系 chemBlink 公司搜集的互联网公开信息,仅用于指导化学品安全技术说明书的编辑与制作。chemBlink 竭诚提供可靠信息,然而不承诺其完备与准确。 阅读全文...



常见问题 (FAQ)
什么是 SDS?   如何下载 SDS?   SDS 是否免费?   SDS 和 MSDS 有什么区别?



相关化学品安全技术说明书
3-氯-4-氟苯甲醛   3-溴-2-氧代丁酸...   3-烯丙基-5-(1...   4-(叔-丁氧基)-...   氯化镉水合物   舒更葡糖钠   6-(4-氟苯基)-...   8-氨基-1-萘酚-...   5-甲基-2-(4-...   2-(溴甲基)-吡咯...