全球化学品在线数据库

5,10,15,20-四(4-羧基苯基)卟吩四甲酯 化学品安全技术说明书 (CAS 22112-83-0)

本页面提供 5,10,15,20-四(4-羧基苯基)卟吩四甲酯 (CAS 22112-83-0) 的化学品安全技术说明书 (SDS),包括危险性、急救措施、储存与操作要求等信息。用户可免费下载 SDS 文件用于实验室或工业参考。

产品概述

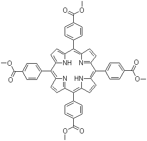
结构式 CAS# 22112-83-0, 5,10,15,20-四(4-羧基苯基)卟吩四甲酯
产品名称 5,10,15,20-四(4-羧基苯基)卟吩四甲酯
CAS 登录号 22112-83-0
分子式 C52H38N4O8
分子量 846.88
5,10,15,20-四(4-羧基苯基)卟吩四甲酯的详细资料
 
资料来源 SDS 样本
Ambeed
file.ambeed.com/static/upload/prosds/am/987/SDS-A986233.pdf
浏览或下载

免责声明

本页所列之化学品安全技术说明书样本系 chemBlink 公司搜集的互联网公开信息,仅用于指导化学品安全技术说明书的编辑与制作。chemBlink 竭诚提供可靠信息,然而不承诺其完备与准确。 阅读全文...



常见问题 (FAQ)
什么是 SDS?   如何下载 SDS?   SDS 是否免费?   SDS 和 MSDS 有什么区别?



相关化学品安全技术说明书
4-[[芴甲氧羰基]...   (4-羟基-2-甲基...   中位-四(4-氯苯基...   5,10,15,20...   5,10,15,20...   5,10,15,20...   5,15-二苯基-2...   1-苯基咪唑烷-2,...   乙胺硝酸盐   反式-N-(叔丁氧羰...