全球化学品在线数据库

米卡芬净杂质 FR-179642 化学品安全技术说明书 (CAS 168110-44-9)

本页面提供 米卡芬净杂质 FR-179642 (CAS 168110-44-9) 的化学品安全技术说明书 (SDS),包括危险性、急救措施、储存与操作要求等信息。用户可免费下载 SDS 文件用于实验室或工业参考。

产品概述

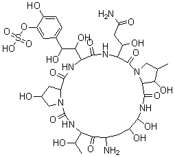
结构式 CAS# 168110-44-9, 米卡芬净杂质 FR-179642
产品名称 米卡芬净杂质 FR-179642
CAS 登录号 168110-44-9
分子式 C35H52N8O20S
分子量 936.90
米卡芬净杂质 FR-179642的详细资料
 
资料来源 SDS 样本
Ambeed
file.ambeed.com/static/upload/prosds/am/416/SDS-A415708.pdf
浏览或下载

免责声明

本页所列之化学品安全技术说明书样本系 chemBlink 公司搜集的互联网公开信息,仅用于指导化学品安全技术说明书的编辑与制作。chemBlink 竭诚提供可靠信息,然而不承诺其完备与准确。 阅读全文...



常见问题 (FAQ)
什么是 SDS?   如何下载 SDS?   SDS 是否免费?   SDS 和 MSDS 有什么区别?



相关化学品安全技术说明书
嘧啶肟草醚   2-甲基-2-丙烯酸...   乙基3-氟-1H-吡...   二[双(三氟甲磺酰)...   6-甲基-1H-嘌呤...   2-氯嘌呤   3-乙酰基-3-甲基...   7-溴-1,4-二氢...   硫化镍   2,6-二(咔唑-9...