全球化学品在线数据库

(1E)-1-癸亚基-2-(2,4-二硝基苯基)肼 化学品安全技术说明书 (CAS 1527-95-3)

本页面提供 (1E)-1-癸亚基-2-(2,4-二硝基苯基)肼 (CAS 1527-95-3) 的化学品安全技术说明书 (SDS),包括危险性、急救措施、储存与操作要求等信息。用户可免费下载 SDS 文件用于实验室或工业参考。

产品概述

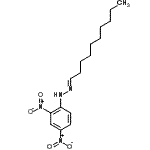
结构式 CAS# 1527-95-3, (1E)-1-癸亚基-2-(2,4-二硝基苯基)肼
产品名称 (1E)-1-癸亚基-2-(2,4-二硝基苯基)肼
CAS 登录号 1527-95-3
分子式 C16H24N4O4
分子量 336.39
(1E)-1-癸亚基-2-(2,4-二硝基苯基)肼的详细资料
 
资料来源 SDS 样本
Sigma-Aldrich
www.sigmaaldrich.com/catalog/Lookup.do?N5=All&N3=mode+matchpartialmax&N1=S_ID&ST=RS&N25=0&F=PR&D7=0&N4=1527-95-3
浏览或下载

免责声明

本页所列之化学品安全技术说明书样本系 chemBlink 公司搜集的互联网公开信息,仅用于指导化学品安全技术说明书的编辑与制作。chemBlink 竭诚提供可靠信息,然而不承诺其完备与准确。 阅读全文...



常见问题 (FAQ)
什么是 SDS?   如何下载 SDS?   SDS 是否免费?   SDS 和 MSDS 有什么区别?



相关化学品安全技术说明书
3,5-二甲基-4-...   4-(2,4-二羟基...   3-甲氧基苯腈   氯(三甲基膦)金   N-苯基-苯甲脒   (1E)-1-[(2...   丁醛 2-(2,4-...   二(氰基)-金酸钠盐   4-(苄基(乙基)氨...   5-羟基烟腈