全球化学品在线数据库

N,N,N-三甲基-2,3-二[(9Z)-9-十八碳烯酰基氧基]-1-丙基氯化铵 化学品安全技术说明书 (CAS 132172-61-3)

本页面提供 N,N,N-三甲基-2,3-二[(9Z)-9-十八碳烯酰基氧基]-1-丙基氯化铵 (CAS 132172-61-3) 的化学品安全技术说明书 (SDS),包括危险性、急救措施、储存与操作要求等信息。用户可免费下载 SDS 文件用于实验室或工业参考。

产品概述

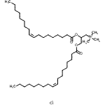
结构式 CAS# 132172-61-3, N,N,N-三甲基-2,3-二[(9Z)-9-十八碳烯酰基氧基]-1-丙基氯化铵
产品名称 N,N,N-三甲基-2,3-二[(9Z)-9-十八碳烯酰基氧基]-1-丙基氯化铵
CAS 登录号 132172-61-3
分子式 C42H80ClNO4
分子量 698.54
N,N,N-三甲基-2,3-二[(9Z)-9-十八碳烯酰基氧基]-1-丙基氯化铵的详细资料
 
资料来源 SDS 样本
Sigma-Aldrich
www.sigmaaldrich.com/catalog/Lookup.do?N5=All&N3=mode+matchpartialmax&N1=S_ID&ST=RS&N25=0&F=PR&D7=0&N4=132172-61-3
浏览或下载
Matrix
www.matrixscientific.com/media/msds/16/79/70/MxMSDS_167970.pdf
浏览或下载
Cayman
www.caymanchem.com/msdss/15110m.pdf
浏览或下载

免责声明

本页所列之化学品安全技术说明书样本系 chemBlink 公司搜集的互联网公开信息,仅用于指导化学品安全技术说明书的编辑与制作。chemBlink 竭诚提供可靠信息,然而不承诺其完备与准确。 阅读全文...



常见问题 (FAQ)
什么是 SDS?   如何下载 SDS?   SDS 是否免费?   SDS 和 MSDS 有什么区别?



相关化学品安全技术说明书
4,8-二[(2-丁...   (10S)-10-[...   铁酞菁   4-溴-2-氯-6-...   甲磺酸苯扎托品   二乙烯苯   1,1,1,2,2,...   盐酸双苯比拉林   4-叔-丁基氨基乙基...   5-氰基-2-甲基吲...