Online Database of Chemicals from Around the World

Diacetylspiramycin III
[CAS 99664-83-2]

Suppliers
CAS#: 99664-83-2
Product: Diacetylspiramycin III
No suppilers available for the product.
Identification
Name Diacetylspiramycin III
Synonyms [(4R,5S,6S,7S,9R,10S,11E,13E,16R)-6-[(2S,3R,4R,5S,6R)-5-[(2S,4R,5S,6S)-4,5-Dihydroxy-4,6-Dimethyl-Tetrahydropyran-2-Yl]Oxy-4-Dimethylamino-3-Hydroxy-6-Methyl-Tetrahydropyran-2-Yl]Oxy-10-[(2R,5S,6R)-5-Dimethylamino-6-Methyl-4-(2-Oxoethyl)Tetrahydropyran-2-
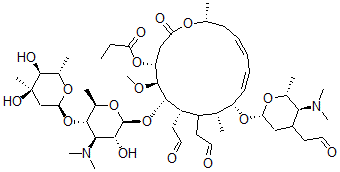
Molecular Structure CAS#: 99664-83-2, Diacetylspiramycin III
Molecular Formula C50H82N2O17
Molecular Weight 983.20
CAS Registry Number 99664-83-2
SMILES [C@@H]4(O[C@@H]2[C@@H](OC)[C@H](OC(=O)CC)CC(O[C@@H](C/C=C/C=C/[C@H](O[C@@H]1O[C@@H]([C@@H](N(C)C)C(C1)CC=O)C)[C@@H](C([C@@H]2CC=O)CC=O)C)C)=O)O[C@@H]([C@@H](O[C@@H]3O[C@H]([C@H](O)[C@](O)(C3)C)C)[C@H](N(C)C)[C@H]4O)C
InChI 1S/C50H82N2O17/c1-13-38(56)66-37-26-39(57)62-28(2)17-15-14-16-18-36(67-40-25-33(19-22-53)42(51(8)9)30(4)63-40)29(3)34(20-23-54)35(21-24-55)46(47(37)61-12)69-49-44(58)43(52(10)11)45(31(5)65-49)68-41-27-50(7,60)48(59)32(6)64-41/h14-16,18,22-24,28-37,40-49,5
InChIKey REDHZNLPLQBCCV-LBFPBFSLSA-N
Market Analysis Reports
Related Products
rac N,O-Diacety...  3,5-Diacetylpyr...  1,2-Diacetyl-3-...  2,6-Diacetylpyr...  1,3-Diacetyl-2,...  (5S)-1,5-Diacet...  1,5-Diacetyl-2-...  Diacetyl Scopad...  1-(N,O-Diacetyl...  O,N-Diacetylsol...  trans-N,O-Diace...  N,N'-Diacetylsu...  Diacetyl-L-tart...  (+)-Diacetyl-D-...  (+)-Diacetyl-L-...  11,12-Di-O-acet...  4’,5-Di-O-acety...  3,4-Di-O-acetyl...  3,6-Di-O-acetyl...  1,4-Diacetyltet...