Identification
| Name |
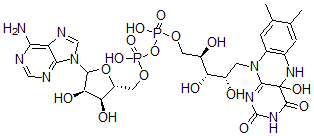
4a-Hydroxy-FAD |
| Synonyms |
[[(2R,3S,4S)-5-(4A-Hydroxy-7,8-Dimethyl-2,4-Dioxo-5H-Benzo[G]Pteridin-10-Yl)-2,3,4-Trihydroxy-Pentoxy]-Hydroxy-Phosphoryl] [(2R,3S,4R)-5-(6-Aminopurin-9-Yl)-3,4-Dihydroxy-Tetrahydrofuran-2-Yl]Methyl Hydrogen Phosphate; [[(2R,3S,4S)-5-(4A-Hydroxy-7,8-Dimeth |
|
| Molecular Structure |
 |
| Molecular Formula |
C27H35N9O16P2 |
| Molecular Weight |
803.57 |
| CAS Registry Number |
96622-00-3 |
| SMILES |
[N]6(C1O[C@@H]([C@@H](O)[C@H]1O)CO[P](O[P](OC[C@@H](O)[C@@H](O)[C@@H](O)CN3C2=NC(=O)NC(=O)C2(O)NC4=C3C=C(C(=C4)C)C)(=O)O)(=O)O)C5=NC=NC(=C5N=C6)N |
| InChI |
1S/C27H35N9O16P2/c1-10-3-12-13(4-11(10)2)35(24-27(44,34-12)25(42)33-26(43)32-24)5-14(37)18(39)15(38)6-49-53(45,46)52-54(47,48)50-7-16-19(40)20(41)23(51-16)36-9-31-17-21(28)29-8-30-22(17)36/h3-4,8-9,14-16,18-20,23,34,37-41,44H,5-7H2,1-2H3,(H,45,46)(H,47,48 |
| InChIKey |
WTOYVZYXGAOYIM-DMXKTOCKSA-N |
|