Online Database of Chemicals from Around the World

N-{4-[(Diaminomethylene)amino]butyl}propanamide
[CAS 958730-40-0]

Suppliers
Atomax Chemicals Co., Ltd. China
+86 13417589054/
info@atomaxchem.com,atomax.chemicals@gmail.com
QQ Chat
Chemical manufacturer
Identification
Name N-{4-[(Diaminomethylene)amino]butyl}propanamide
Synonyms N-(4-guanidinobutyl)propionamide; Propanoylagmatine; Propionylagmatine
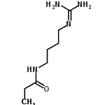
Molecular Structure CAS#: 958730-40-0, N-{4-[(Diaminomethylene)amino]butyl}propanamide
Molecular Formula C8H18N4O
Molecular Weight 186.25
CAS Registry Number 958730-40-0
SMILES O=C(NCCCC/N=C(\N)N)CC
InChI 1S/C8H18N4O/c1-2-7(13)11-5-3-4-6-12-8(9)10/h2-6H2,1H3,(H,11,13)(H4,9,10,12)
InChIKey WVTOFVPEEGNUHR-UHFFFAOYSA-N
Properties
Density 1.159g/cm3 (Cal.)
Refractive index 1.535 (Cal.)
Market Analysis Reports
Related Products
3,4-Diamino-5-M...  2,4-Diamino-2-M...  6-O-(2,3-Diamin...  5,6-Diamino-1-M...  4,5-Diamino-1-M...  5,6-Diamino-3-M...  2,4-Diamino-1-M...  (2,6-Diamino-7-...  3-[(Diaminometh...  N-{4-[(Diaminom...  4-[(Diaminometh...  3-[(17-{(4E)-10...  3-[(13-{(8E)-12...  (3-{[(Diaminome...  5-[(Diaminometh...  (5R,11R,14R)-11...  2,2'-[12-{3-[(D...  3-[({2-[(Diamin...  3-[2-(Diaminome...  N-[(6-{2-[(Diam...