Online Database of Chemicals from Around the World

Gln(9)-beta-Lipotropin
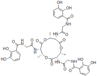
[CAS 95536-04-2]

Suppliers
CAS#: 95536-04-2
Product: Gln(9)-beta-Lipotropin
No suppilers available for the product.
Identification
Name Gln(9)-beta-Lipotropin
Synonyms N-[2-[[(2R,3S,6R,7S,10R,11S)-7,11-Bis[[2-[(2,3-Dihydroxybenzoyl)Amino]Acetyl]Amino]-2,6,10-Trimethyl-4,8,12-Trioxo-1,5,9-Trioxacyclododec-3-Yl]Amino]-2-Oxo-Ethyl]-2,3-Dihydroxy-Benzamide; N-[2-[[(2R,3S,6R,7S,10R,11S)-7,11-Bis[[2-[[(2,3-Dihydroxyphenyl)-Oxo
Molecular Structure CAS#: 95536-04-2, Gln(9)-beta-Lipotropin
Molecular Formula C39H42N6O18
Molecular Weight 882.79
CAS Registry Number 95536-04-2
SMILES [C@@H]4(NC(=O)CNC(=O)C1=CC=CC(=C1O)O)C(O[C@@H]([C@H](NC(=O)CNC(=O)C2=CC=CC(=C2O)O)C(O[C@@H]([C@H](NC(=O)CNC(=O)C3=C(O)C(=CC=C3)O)C(O[C@@H]4C)=O)C)=O)C)=O
InChI 1S/C39H42N6O18/c1-16-28(43-25(49)13-40-34(55)19-7-4-10-22(46)31(19)52)37(58)62-18(3)30(45-27(51)15-42-36(57)21-9-6-12-24(48)33(21)54)39(60)63-17(2)29(38(59)61-16)44-26(50)14-41-35(56)20-8-5-11-23(47)32(20)53/h4-12,16-18,28-30,46-48,52-54H,13-15H2,1-3H3,(H
InChIKey RCQTVEFBFUNTGM-BDVHUIKKSA-N
Properties
Density 1.615g/cm3 (Cal.)
Boiling point 1351.287°C at 760 mmHg (Cal.)
Flash point 771.03°C (Cal.)
Market Analysis Reports
Related Products
Glipizide;1-Cyc...  Gliquidone;3-Cy...  Glisamuride;1-M...  Glisindamide;N-...  Glisolamide;N-[...  Glisoxepide;N-[...  H-Gln-Arg-Pro-A...  Gln(1)-Des-His(...  H-Gln-Gln-OH;L-...  H-Gln-Glu-OH  [Gln4]-Neuroten...  Globomycin;19-H...  Globularin  gamma-Globulins...  Globulins, Bloo...  (-)-Globulol;(-...  Glochicoccin D  Glochidiol  Glochidone  Glochidonol