|
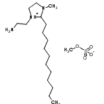
CAS#: 93783-37-0 Product: 1-(2-Aminoethyl)-3-methyl-2-undecylimidazolidin-1-ium methyl sulfate No suppilers available for the product. |
| Name | 1-(2-Aminoethyl)-3-methyl-2-undecylimidazolidin-1-ium methyl sulfate |
|---|---|
| Synonyms | 1-(2-amin |
| Molecular Structure | ![]() |
| Molecular Formula | C18H41N3O4S |
| Molecular Weight | 395.60 |
| CAS Registry Number | 93783-37-0 |
| EINECS | 298-236-4 |
| SMILES | CN1CC[NH+](CCN)C1CCCCCCCCCCC.[O-]S(=O)(=O)OC |
| InChI | 1S/C17H37N3.CH4O4S/c1-3-4-5-6-7-8-9-10-11-12-17-19(2)15-16-20(17)14-13-18;1-5-6(2,3)4/h17H,3-16,18H2,1-2H3;1H3,(H,2,3,4) |
| InChIKey | PHCTZPYHKUCEAE-UHFFFAOYSA-N |
| Boiling point | 512.3°C at 760 mmHg (Cal.) |
|---|---|
| Flash point | 263.6°C (Cal.) |
| Market Analysis Reports |