Online Database of Chemicals from Around the World

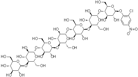
2-Chloro-4-nitrophenyl beta-D-maltoheptaoside
[CAS 90826-64-5]

List of Suppliers
Carbosynth China Ltd. China
www.carbosynth.cn
+86 (512) 6260-5585
+86 (512) 6260-5576
sales@carbosynth.com
QQ Chat
Chemical manufacturer since 2006
chemBlink Standard supplier since 2016

Identification
Name2-Chloro-4-nitrophenyl beta-D-maltoheptaoside
Molecular Structure2-Chloro-4-nitrophenyl beta-D-maltoheptaoside molecular structure (CAS 90826-64-5)
Molecular FormulaC48H74ClNO38
Molecular Weight1308.54
CAS Registry Number90826-64-5
Properties
SolubilityVery slightly soluble (0.9 g/L) (25 °C), Calc.*
Density1.87±0.1 g/cm3 (20 °C 760 Torr), Calc.*
*Calculated using Advanced Chemistry Development (ACD/Labs) Software V11.02 (©1994-2013 ACD/Labs)
Market Analysis Reports
Related Products
4-Chloro-2-nitr...  5-Chloro-2-Nitr...  2-Chloro-4-Nitr...  4-Chloro-3-Nitr...  2-Chloro-N-(3-N...  5-Chloro-2-(4-n...  2-Chloro-5-Nitr...  2'-Chloro-4'-ni...  5'-Chloro-2'-ni...  2-(4-Chloro-2-N...  2-Chloro-4-Nitr...  2-Chloro-4-nitr...  2-Chloro-4-nitr...  Chloro(4-Nitrop...  (3-Chloro-5-Nit...  (2-Chloro-4-nit...  N-(4-Chloro-3-N...  2-Chloro-1-Nitr...  2-Chloro-1-Nitr...  1-(4-Chloro-2-n...