Identification
| Name |
Somatotropin releasing hormone(1-37)amide |
| Synonyms |
Human-Pancreatic Growth Hormone Releasing Factor(1-37)Amide; Somatoliberin, 37-L-Alpha-Glutamine-38-De-L-Arginine-39-Deglycine-40-De-L-Alanine-41-De-L-Arginine-42-De-L-Alanine-43-De-L-Arginine-44-De-L-Leucinamide-, (S-(R*,R*))-; Somatotropin Releasing Hormo |
|
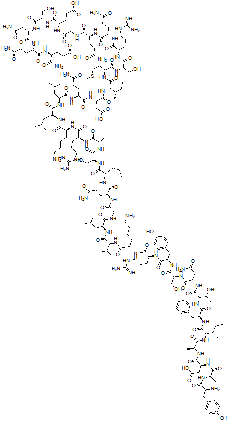
| Molecular Structure |
 |
| Molecular Formula |
C183H298N56O59S |
| Molecular Weight |
4258.77 |
| CAS Registry Number |
90599-36-3 |
| SMILES |
[C@@H](NC(=O)[C@@H](NC(=O)[C@@H](NC(=O)[C@@H](NC(=O)[C@@H](NC(=O)[C@@H](N)CC1=CC=C(O)C=C1)C)CC(=O)O)C)[C@H](CC)C)(C(=O)N[C@H](C(=O)N[C@H](C(=O)N[C@H](C(=O)N[C@H](C(=O)N[C@H](C(=O)N[C@H](C(=O)N[C@H](C(=O)N[C@H](C(=O)NCC(=O)N[C@H](C(=O)N[C@H](C(=O)N[C@H](C( |
| InChI |
1S/C183H298N56O59S/c1-20-90(13)143(237-149(267)94(17)207-164(282)123(77-140(260)261)222-148(266)92(15)206-150(268)101(186)72-97-39-43-99(245)44-40-97)179(297)230-120(73-96-32-23-22-24-33-96)171(289)239-145(95(18)244)180(298)231-122(76-135(193)253)170(288) |
| InChIKey |
DLOLQBQSNQXDRL-YFSNPJIJSA-N |
|