Online Database of Chemicals from Around the World

Arabinotriose
[CAS 89315-59-3]

List of Suppliers
Carbosynth China Ltd. China
www.carbosynth.cn
+86 (512) 6260-5585
+86 (512) 6260-5576
sales@carbosynth.com
QQ Chat
Chemical manufacturer since 2006
chemBlink Standard supplier since 2016

Identification
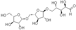
NameArabinotriose
SynonymsO-alpha-L-Arabinofuranosyl-(1→5)-O-alpha-L-arabinofuranosyl-(1→5)-L-arabinose
Molecular StructureArabinotriose molecular structure (CAS 89315-59-3)
Molecular FormulaC15H26O13
Molecular Weight414.36
CAS Registry Number89315-59-3
Properties
SolubilitySoluble (70 g/L) (25 °C), Calc.*
Density1.68±0.1 g/cm3 (20 °C 760 Torr), Calc.*
*Calculated using Advanced Chemistry Development (ACD/Labs) Software V11.02 (©1994-2016 ACD/Labs)
Market Analysis Reports
Related Products
D-Arabinose-5-P...  D-Arabinose 5-P...  D-Arabinose, 2,...  Arabinoside  3-(Arabinosylox...  6alpha-Arabinos...  Arabinosylthymi...  Arabinosylxylot...  2-(L-Arabino-Te...  Arabinotetraose  Arabinoxylan  D-(+)-Arabitol  DL-Arabitol  L-(-)-Arabitol  L(-)-Arabonic A...  ARACHIDIC ACID  Arachidic Acid ...  Arachidic Acid ...  Arachidic Acid ...  Arachidic Acid ...