Online Database of Chemicals from Around the World
2,5-Furandione, Polymer With 2-Ethyl-2-(Hydroxymethyl)-1,3-Propanediol And Oxirane, Ammonium Salt
[CAS 89182-96-7]
Identification
| Name |
2,5-Furandione, Polymer With 2-Ethyl-2-(Hydroxymethyl)-1,3-Propanediol And Oxirane, Ammonium Salt |
|
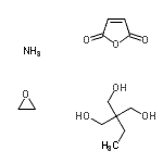
| Molecular Structure |
 |
| Molecular Formula |
C12H23NO7 |
| Molecular Weight |
293.31 |
| CAS Registry Number |
89182-96-7 |
| SMILES |
O=C/1OC(=O)\C=C\1.OCC(CC)(CO)CO.O1CC1.N |
| InChI |
1S/C6H14O3.C4H2O3.C2H4O.H3N/c1-2-6(3-7,4-8)5-9;5-3-1-2-4(6)7-3;1-2-3-1;/h7-9H,2-5H2,1H3;1-2H;1-2H2;1H3 |
| InChIKey |
BZAXKWZMBVNBJY-UHFFFAOYSA-N |
|
Properties
| Boiling point |
295.7°C at 760 mmHg (Cal.) |
| Flash point |
147.7°C (Cal.) |
|
Related Products
2,5-Furandione,... 2,5-Furandione,... 2,5-Furandione,... 2,5-Furandione,... 2,5-Furandione,... 2,5-Furandione,... 2,5-Furandione,... 2,5-Furandione,... 2,5-Furandione,... 2,5-Furandione ... 2,5-Furandione,... 2,5-Furandione,... 2,5-Furandione,... 2,5-Furandione,... 2,5-Furandione,... 2,5-Furandione,... 2,5-Furandione ... 2,5-Furandione ... 2,5-Furandione,... 2,5-Furandione,...