Online Database of Chemicals from Around the World

Mogroside II-E
[CAS 88901-38-6]

List of Suppliers
Chengdu Biopurify Phytochemicals Ltd. China
www.phytopurify.com
+86 (28) 8263-3860
8263-3987
+86 (28) 8263-3165
sales@biopurify.com
biopurify@gmail.com
QQ Chat
Skype Chat
Chemical manufacturer
chemBlink Standard supplier since 2017
Neostar United (Changzhou) Industrial Co., Ltd. China
www.neostarunited.com
+86 (519) 8555-7386
+86 18015025600
+86 (519) 8555-7389
marketing1@neostarunited.com
Chemical distributor since 2014
chemBlink Standard supplier since 2020

Identification
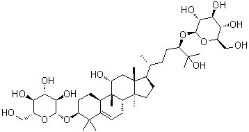
NameMogroside II-E
Synonyms(3beta,9beta,10alpha,11alpha,24R)-11,25-Dihydroxy-9-methyl-19-norlanost-5-ene-3,24-diyl bis-beta-D-glucopyranoside
Molecular StructureMogroside II-E molecular structure (CAS 88901-38-6)
Molecular FormulaC42H72O14
Molecular Weight801.01
CAS Registry Number88901-38-6
Properties
SolubilityInsoluble (9.6E-4 g/L) (25 °C), Calc.*
Density1.33±0.1 g/cm3 (20 °C 760 Torr), Calc.*
*Calculated using Advanced Chemistry Development (ACD/Labs) Software V11.02 (©1994-2016 ACD/Labs)
Market Analysis Reports
Related Products
Mofezolac  Mofloverine  Mofoxime  MOG (35-55)  MOG (35-55)  MOG (35-55)  Moganite  Mogrol  Mogroside I-E1  Mogroside I-A1  Mogroside II-A1  Mogroside II-A2  Mogroside II A  Mogroside II B  Mogroside III  Mogroside III-E  Mogroside III-A...  Mogroside III-A...  Mogroside IV-A  Mogroside IV-E