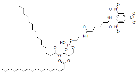
Identification
| Name |
N-(2,4,6-Trinitrophenyl-6-N-Aminocaproyl)-1,2-Dipalmitoylphosphatidylethanolamine |
| Synonyms |
[1-(Hexadecanoyloxymethyl)-2-[Hydroxy-[2-[6-[(2,4,6-Trinitrophenyl)Amino]Hexanoylamino]Ethoxy]Phosphoryl]Oxy-Ethyl] Hexadecanoate; Hexadecanoic Acid [1-[[Hydroxy-[2-[[1-Oxo-6-[(2,4,6-Trinitrophenyl)Amino]Hexyl]Amino]Ethoxy]Phosphoryl]Oxymethyl]-2-(1-Oxohexadecoxy)Ethyl] Ester; Palmitic Acid [1-(Hexadecanoyloxymethyl)-2-[Hydroxy-[2-[6-[(2,4,6-Trinitrophenyl)Amino]Hexanoylamino]Ethoxy]Phosphoryl]Oxy-Ethyl] Ester |
|
| Molecular Structure |
 |
| Molecular Formula |
C49H86N5O15P |
| Molecular Weight |
1016.22 |
| CAS Registry Number |
81497-26-9 |
| SMILES |
C1=C(C(=C(C=C1[N+](=O)[O-])[N+](=O)[O-])NCCCCCC(NCCO[P](OCC(COC(CCCCCCCCCCCCCCC)=O)OC(CCCCCCCCCCCCCCC)=O)(O)=O)=O)[N+](=O)[O-] |
| InChI |
1S/C49H86N5O15P/c1-3-5-7-9-11-13-15-17-19-21-23-25-29-33-47(56)66-40-43(69-48(57)34-30-26-24-22-20-18-16-14-12-10-8-6-4-2)41-68-70(64,65)67-37-36-50-46(55)32-28-27-31-35-51-49-44(53(60)61)38-42(52(58)59)39-45(49)54(62)63/h38-39,43,51H,3-37,40-41H2,1-2H3,(H,50,55)(H,64,65) |
| InChIKey |
IMRNWYZISVDRJS-UHFFFAOYSA-N |
|