Online Database of Chemicals from Around the World

1-Palmitoyl-2-oleoyl-phosphatidylglycerol
[CAS 81490-05-3]

List of Suppliers
Shanghai Advanced Viecle Technology Co., Ltd. China
www.avt-cn.com
+86 (21) 6139-1729
400-6262-623
+86 (21) 5156-1583
nelson@avt-cn.com
Chemical distributor
chemBlink Standard supplier since 2010

Identification
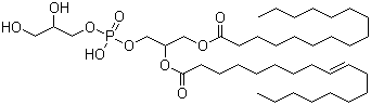
Name1-Palmitoyl-2-oleoyl-phosphatidylglycerol
Molecular Structure1-Palmitoyl-2-oleoyl-phosphatidylglycerol molecular structure (CAS 81490-05-3)
Molecular FormulaC40H77O10P
Molecular Weight749.01
CAS Registry Number81490-05-3
Properties
Density1.040
Safety Data
SDSAvailable
Market Analysis Reports
Related Products
1-Palmitoyl-2-L...  1-Palmitoyl-2-L...  1-Palmitoyl-Lys...  Palmitoyl Lyso-...  N(alpha)-Palmit...  N-Palmitoylmeth...  rac 1-Palmitoyl...  1-Palmitoyl-2-O...  1-Palmitoyl-2-O...  1-Palmitoyl-2-O...  1-Palmitoyl-2-o...  1-Palmitoyl-2-o...  N(alpha)-Palmit...  (Palmitoyloxy)-...  2-(Palmitoyloxy...  1-(Palmitoyloxy...  2-(Palmitoyloxy...  11-Palmitoyloxy...  1-Palmitoyl-2-P...  1-Palmitoyl-2-(...