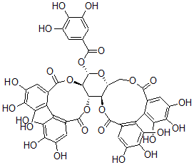
Identification
| Name |
1(beta)-O-Galloylpedunculagin |
| Synonyms |
Beta-D-Glucopyranose, Cyclic 2,3:4,6-Bis(4,4',5,5',6,6'-Hexahydroxy(1,1'-Biphenyl)-2,2'-Dicarboxylate) 1-(3,4,5-Trihydroxybenzoate), (2(S),4(S))-; C10212; Casuarictin |
|
| Molecular Structure |
 |
| Molecular Formula |
C41H28O26 |
| Molecular Weight |
936.66 |
| CAS Registry Number |
79786-00-8 |
| SMILES |
[C@@H]38[C@H]([C@@H]2OC(C5=C(C1=C(C(=C(C=C1C(OC[C@H]2O[C@H]3OC(C4=CC(=C(C(=C4)O)O)O)=O)=O)O)O)O)C(=C(C(=C5)O)O)O)=O)OC(C6=C(C(=C(C(=C6)O)O)O)C7=C(O)C(=C(C=C7C(O8)=O)O)O)=O |
| InChI |
1S/C41H28O26/c42-13-1-8(2-14(43)24(13)48)36(57)67-41-35-34(65-39(60)11-5-17(46)27(51)31(55)22(11)23-12(40(61)66-35)6-18(47)28(52)32(23)56)33-19(63-41)7-62-37(58)9-3-15(44)25(49)29(53)20(9)21-10(38(59)64-33)4-16(45)26(50)30(21)54/h1-6,19,33-35,41-56H,7H2/t19-,33-,34+,35-,41+/m1/s1 |
| InChIKey |
SWRFKGRMQVLMKA-JIZJWZDPSA-N |
|