Online Database of Chemicals from Around the World

N-[(3-Carboxy-2-oxiranyl)carbonyl]leucine
[CAS 791730-19-3]

Suppliers
Achemica Switzerland
+41 (24) 466-2929
contact@achemica.com
Chemical manufacturer since 2010
Atomax Chemicals Co., Ltd. China
+86 13417589054/
info@atomaxchem.com,atomax.chemicals@gmail.com
QQ Chat
Chemical manufacturer
Identification
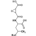
Name N-[(3-Carboxy-2-oxiranyl)carbonyl]leucine
Synonyms 2-OXIRANECARBOXYLICACID, 3-[[(1-CARBOXY-3-METHYLBUTYL)AMINO]CARBONYL]-; 3-((1-carboxy-3-methylbutyl)carbamoyl)oxirane-2-carboxylic acid
Molecular Structure CAS#: 791730-19-3, N-[(3-Carboxy-2-oxiranyl)carbonyl]leucine
Molecular Formula C10H15NO6
Molecular Weight 245.23
CAS Registry Number 791730-19-3
SMILES OC(=O)C1OC1C(=O)NC(CC(C)C)C(O)=O
InChI 1S/C10H15NO6/c1-4(2)3-5(9(13)14)11-8(12)6-7(17-6)10(15)16/h4-7H,3H2,1-2H3,(H,11,12)(H,13,14)(H,15,16)
InChIKey TZOQFUTZWYTVLZ-UHFFFAOYSA-N
Properties
Density 1.405g/cm3 (Cal.)
Boiling point 570.766°C at 760 mmHg (Cal.)
Flash point 298.989°C (Cal.)
Refractive index 1.535 (Cal.)
Market Analysis Reports
Related Products
6-Carboxy-4-Nit...  Carboxynitroso ...  6-(9-Carboxy-1-...  (3beta,20alpha,...  (3beta)-17-Carb...  [(3beta)-17-Car...  4beta-Carboxyno...  8-Carboxyoctyl ...  2-(2-(5-Carboxy...  2-CarboxyOxiran...  (Z)-N-(3-Carbox...  3-[3-[(3-Carbox...  3-carboxy-2-oxo...  N-(4-Carboxy-1-...  N-(4-Carboxy-1-...  [3-(3-Carboxy-2...  5-[3-(2-Carboxy...  4-[(2E)-2-(3-Ca...  4-[4-[(2Z)-2-(3...  1-(2-Carboxy-2-...