Online Database of Chemicals from Around the World

L-Seryl-L-alpha-Aspartyl-L-Leucyl-L-Prolyl-L-Glutaminyl-L-Threonyl-L-Histidyl-L-Seryl-L-Leucylglycyl-L-Asparaginyl-L-Arginyl-L-Arginyl-L-Alanyl-L-Leucyl-L-Isoleucyl-L-Leucyl-L-Leucyl-L-Alanyl-L-Glutamine
[CAS 79113-16-9]

Suppliers
CAS#: 79113-16-9
Product: L-Seryl-L-alpha-Aspartyl-L-Leucyl-L-Prolyl-L-Glutaminyl-L-Threonyl-L-Histidyl-L-Seryl-L-Leucylglycyl-L-Asparaginyl-L-Arginyl-L-Arginyl-L-Alanyl-L-Leucyl-L-Isoleucyl-L-Leucyl-L-Leucyl-L-Alanyl-L-Glutamine
No suppilers available for the product.
Identification
Name L-Seryl-L-alpha-Aspartyl-L-Leucyl-L-Prolyl-L-Glutaminyl-L-Threonyl-L-Histidyl-L-Seryl-L-Leucylglycyl-L-Asparaginyl-L-Arginyl-L-Arginyl-L-Alanyl-L-Leucyl-L-Isoleucyl-L-Leucyl-L-Leucyl-L-Alanyl-L-Glutamine
Synonyms Interferon Eicosapeptide; Interferon Eicosapeptide (Human Lymphoblastoid); Itf-Ecp
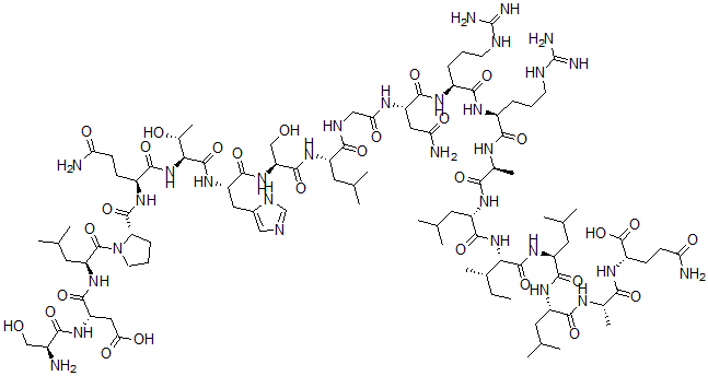
Molecular Structure CAS#: 79113-16-9, L-Seryl-L-alpha-Aspartyl-L-Leucyl-L-Prolyl-L-Glutaminyl-L-Threonyl-L-Histidyl-L-Seryl-L-Leucylglycyl-L-Asparaginyl-L-Arginyl-L-Arginyl-L-Alanyl-L-Leucyl-L-Isoleucyl-L-Leucyl-L-Leucyl-L-Alanyl-L-Glutamine
Molecular Formula C95H163N31O29
Molecular Weight 2203.52
CAS Registry Number 79113-16-9
SMILES [C@@H](N)(C(=O)N[C@H](C(=O)N[C@H](C(=O)N2[C@H](C(=O)N[C@H](C(=O)N[C@H](C(=O)N[C@H](C(=O)N[C@H](C(=O)N[C@H](C(=O)NCC(=O)N[C@H](C(=O)N[C@H](C(=O)N[C@H](C(=O)N[C@@H](C)C(=O)N[C@H](C(=O)N[C@H](C(=O)N[C@H](C(=O)N[C@H](C(=O)N[C@@H](C)C(=O)N[C@H](C(=O)O)CCC(=O)N)CC(C)C)CC(C)C)[C@@H](C)CC)CC(C)C)CCCNC(N)=N)CCCNC(N)=N)CC(=O)N)CC(C)C)CO)CC1=CN=C[NH]1)[C@H](O)C)CCC(=O)N)CCC2)CC(C)C)CC(=O)O)CO
InChI 1S/C95H163N31O29/c1-16-48(12)73(90(151)120-60(32-45(6)7)83(144)119-59(31-44(4)5)82(143)110-49(13)75(136)115-57(93(154)155)24-26-69(98)131)124-87(148)61(33-46(8)9)116-76(137)50(14)109-79(140)54(20-17-27-105-94(100)101)112-80(141)55(21-18-28-106-95(102)103)113-85(146)63(36-70(99)132)111-71(133)39-107-78(139)58(30-43(2)3)118-88(149)66(41-128)123-84(145)62(35-52-38-104-42-108-52)121-91(152)74(51(15)129)125-81(142)56(23-25-68(97)130)114-89(150)67-22-19-29-126(67)92(153)65(34-47(10)11)122-86(147)64(37-72(134)135)117-77(138)53(96)40-127/h38,42-51,53-67,73-74,127-129H,16-37,39-41,96H2,1-15H3,(H2,97,130)(H2,98,131)(H2,99,132)(H,104,108)(H,107,139)(H,109,140)(H,110,143)(H,111,133)(H,112,141)(H,113,146)(H,114,150)(H,115,136)(H,116,137)(H,117,138)(H,118,149)(H,119,144)(H,120,151)(H,121,152)(H,122,147)(H,123,145)(H,124,148)(H,125,142)(H,134,135)(H,154,155)(H4,100,101,105)(H4,102,103,106)/t48-,49-,50-,51+,53-,54-,55-,56-,57-,58-,59-,60-,61-,62-,63-,64-,65-,66-,67-,73-,74-/m0/s1
InChIKey GGNFIWYADXBDCW-KKXOUGQESA-N
Market Analysis Reports
Related Products
L-Seryl-L-alany...  L-Seryl-Amp;[[(...  L-Seryl-L-argin...  L-Seryl-L-Argin...  L-Seryl-L-Argin...  L-Seryl-L-Aspar...  L-Seryl-L-aspar...  L-Seryl-L-aspar...  L-Seryl-L-aspar...  L-Seryl-L-alpha...  L-Seryl-L-alpha...  L-Seryl-L-alpha...  L-Seryl-L-Gluta...  L-Seryl-L-Gluta...  L-Seryl-L-gluta...  L-Seryl-L-gluta...  L-Seryl-L-alpha...  L-Seryl-L-alpha...  L-Seryl-L-alpha...  L-Seryl-L-alpha...